Research article

The Steiner antipodal number of zero-divisor graphs of finite commutative rings

  • Published: 05 February 2026
  • MSC : 05C12, 05C25, 05C75

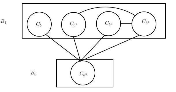
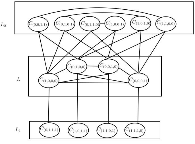
  • Let $ R $ be a finite commutative ring with unity. The zero-divisor graph $ \Gamma(R) $ is defined such that its vertex set comprises all nonzero zero-divisors of $ R $, with two distinct vertices being adjacent if and only if their product is zero. This study provides a closed-form expression for the $ n $-eccentricity of each vertex and computes the Steiner antipodal number of $ \Gamma(R) $ under the following conditions: (ⅰ) $ R = \mathbb{Z}_m $, (ⅱ) $ R $ is a reduced ring, and (ⅲ) $ R $ is a finite direct product of rings of the form $ \mathbb{Z}_m $. Moreover, we establish the existence of a zero-divisor graph with a Steiner antipodal number equal to some positive integer $ m $.

    Citation: Gurusamy Rajendran, Sankari Alias Deepa Ramamoorthy, Arockiaraj Sonasalam, Grienggrai Rajchakit. The Steiner antipodal number of zero-divisor graphs of finite commutative rings[J]. AIMS Mathematics, 2026, 11(2): 3512-3533. doi: 10.3934/math.2026143

    Related Papers:

  • Let $ R $ be a finite commutative ring with unity. The zero-divisor graph $ \Gamma(R) $ is defined such that its vertex set comprises all nonzero zero-divisors of $ R $, with two distinct vertices being adjacent if and only if their product is zero. This study provides a closed-form expression for the $ n $-eccentricity of each vertex and computes the Steiner antipodal number of $ \Gamma(R) $ under the following conditions: (ⅰ) $ R = \mathbb{Z}_m $, (ⅱ) $ R $ is a reduced ring, and (ⅲ) $ R $ is a finite direct product of rings of the form $ \mathbb{Z}_m $. Moreover, we establish the existence of a zero-divisor graph with a Steiner antipodal number equal to some positive integer $ m $.



    加载中


    [1] D. F. Anderson, P. S. Livingston, The zero-divisor graph of a commutative ring, J. Algebra, 217 (1999), 434–447. https://doi.org/10.1006/jabr.1998.7840 doi: 10.1006/jabr.1998.7840
    [2] S. Balamoorthy, T. Kavaskar, K. Vinothkumar, Wiener index of an ideal-based zero-divisor graph of commutative ring with unity, AKCE Int. J. Graphs Comb., 21 (2024), 111–119. https://doi.org/10.1080/09728600.2023.2263040 doi: 10.1080/09728600.2023.2263040
    [3] S. Chattopadhyay, K. L. Patra, B. K. Sahoo, Laplacian eigenvalues of the zero divisor graph of the ring $\mathbb{Z}_n$, Linear Algebra Appl., 584 (2020), 267–286. https://doi.org/10.1016/j.laa.2019.08.015 doi: 10.1016/j.laa.2019.08.015
    [4] A. N. A. Koam, A. Ahmad, A. Haider, Radio number associated with zero divisor graph, Mathematics, 8 (2020), 2187. https://doi.org/10.3390/math8122187 doi: 10.3390/math8122187
    [5] K. Selvakumar, P. Gangaeswari, G. Arunkumar, The Wiener index of the zero-divisor graph of a finite commutative ring with unity, Discrete Appl. Math., 311 (2022), 72–84. https://doi.org/10.1016/j.dam.2022.01.012 doi: 10.1016/j.dam.2022.01.012
    [6] R. Singleton, There is no irregular Moore graph, Am. Math. Mon., 75 (1968), 42–43. https://doi.org/10.2307/2315106 doi: 10.2307/2315106
    [7] S. Arockiaraj, R. Gurusamy, K. M. Kathiresan, On the Steiner antipodal number of graphs, Electron. J. Graph Theory Appl., 7 (2019), 225–233. https://doi.org/10.5614/ejgta.2019.7.2.3 doi: 10.5614/ejgta.2019.7.2.3
    [8] R. Gurusamy, A. Meena Kumari, R. Rathajeyalakshmi, Steiner antipodal number of graphs obtained from some graph operations, Math. Stat., 11 (2023), 441–445. https://doi.org/10.13189/ms.2023.110301 doi: 10.13189/ms.2023.110301
    [9] P. Gangaeswari, K. Selvakumar, G. Arunkumar, A note on topological indices and the twin classes of graphs, arXiv, 2023. https://doi.org/10.48550/arXiv.2303.12491
    [10] M. Young, Adjacency matrices of zero-divisor graphs of integers modulo $n$, Involve, 8 (2015), 753–761. https://doi.org/10.2140/involve.2015.8.753 doi: 10.2140/involve.2015.8.753
  • Reader Comments
  • © 2026 the Author(s), licensee AIMS Press. This is an open access article distributed under the terms of the Creative Commons Attribution License (http://creativecommons.org/licenses/by/4.0)
通讯作者: 陈斌, bchen63@163.com
  • 1. 

    沈阳化工大学材料科学与工程学院 沈阳 110142

  1. 本站搜索
  2. 百度学术搜索
  3. 万方数据库搜索
  4. CNKI搜索

Metrics

Article views(460) PDF downloads(38) Cited by(0)

Article outline

Figures and Tables

Figures(5)  /  Tables(2)

/

DownLoad:  Full-Size Img  PowerPoint
Return
Return

Catalog