Research article Special Issues

Dynamical mechanisms and transitions of mixed-mode bursting in a closed-loop respiratory control model

  • Published: 27 March 2026
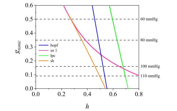
  • Abnormal respiratory rhythms, a hallmark of many respiratory diseases, largely arise from transitional firing dynamics in the pre-Bötzinger complex (pre-BötC) neurons. Mixed-mode bursting (MMB), characterized by alternating depolarization block (DB) and square-wave (SW) bursts, represents a particularly complex firing pattern of significant research interest. Based on Diekman's closed-loop respiratory control model, this study applies a fast-slow dynamical analysis and the bifurcation theory to investigate how variations in hemoglobin concentration ([Hb]) govern the emergence and disappearance of MMB. Numerical simulations show that [Hb] variations induce clear transitions between MMB and single SW bursting. A dynamical analysis reveals that the intrinsic slow variable $ h $ determines the type of individual bursting, while the slow feedback variable $ g_{tonic} $, which is regulated by the arterial blood oxygen partial pressure, evolves on a comparable timescale and influences the global trajectories by shifting the critical bifurcation structures. The interaction between these slow variables enables the emergence of MMB. When the slow feedback pathway is fixed such that $ g_{tonic} $ remains constant, MMB can no longer be sustained. These results indicate that MMB in closed-loop systems relies on the dynamic coupling of multiple slow variables rather than on the static value of a single parameter, thus providing a dynamical mechanism for complex rhythm generation.

    Citation: Yilan Jiang, Lixia Duan. Dynamical mechanisms and transitions of mixed-mode bursting in a closed-loop respiratory control model[J]. Electronic Research Archive, 2026, 34(4): 2652-2673. doi: 10.3934/era.2026123

    Related Papers:

  • Abnormal respiratory rhythms, a hallmark of many respiratory diseases, largely arise from transitional firing dynamics in the pre-Bötzinger complex (pre-BötC) neurons. Mixed-mode bursting (MMB), characterized by alternating depolarization block (DB) and square-wave (SW) bursts, represents a particularly complex firing pattern of significant research interest. Based on Diekman's closed-loop respiratory control model, this study applies a fast-slow dynamical analysis and the bifurcation theory to investigate how variations in hemoglobin concentration ([Hb]) govern the emergence and disappearance of MMB. Numerical simulations show that [Hb] variations induce clear transitions between MMB and single SW bursting. A dynamical analysis reveals that the intrinsic slow variable $ h $ determines the type of individual bursting, while the slow feedback variable $ g_{tonic} $, which is regulated by the arterial blood oxygen partial pressure, evolves on a comparable timescale and influences the global trajectories by shifting the critical bifurcation structures. The interaction between these slow variables enables the emergence of MMB. When the slow feedback pathway is fixed such that $ g_{tonic} $ remains constant, MMB can no longer be sustained. These results indicate that MMB in closed-loop systems relies on the dynamic coupling of multiple slow variables rather than on the static value of a single parameter, thus providing a dynamical mechanism for complex rhythm generation.



    加载中


    [1] M. Gorini, A. Spinelli, R. Ginanni, R. Duranti, F. Gigliotti, G. Scano, Neural respiratory drive and neuromuscular coupling in patients with chronic obstructive pulmonary disease (COPD), Chest, 98 (1990), 1179–1186. https://doi.org/10.1378/chest.98.5.1179 doi: 10.1378/chest.98.5.1179
    [2] M. Gorini, G. Misuri, A. Corrado, R. Duranti, I. Iandelli, E. De Paola, et al., Breathing pattern and carbon dioxide retention in severe chronic obstructive pulmonary disease, Thorax, 51 (1996), 677–683. https://doi.org/10.1136/thx.51.7.677 doi: 10.1136/thx.51.7.677
    [3] R. B. Gorman, D. K. McKenzie, N. B. Pride, J. F. Tolman, S. C. Gandevia, Diaphragm length during tidal breathing in patients with chronic obstructive pulmonary disease, Am. J. Respir. Crit. Care Med., 166 (2002), 1461–1469. https://doi.org/10.1164/rccm.200111-087OC doi: 10.1164/rccm.200111-087OC
    [4] R. L. Horner, Pathophysiology of obstructive sleep apnea, J. Cardiopulmonary Rehabil. Prev., 28 (2008), 289–298. https://doi.org/10.1097/01.HCR.0000336138.71569.a2 doi: 10.1097/01.HCR.0000336138.71569.a2
    [5] J. L. Feldman, C. A. Del Negro, Looking for inspiration: new perspectives on respiratory rhythm, Nat. Rev. Neurosci., 7 (2006), 232–241. https://doi.org/10.1038/nrn1871 doi: 10.1038/nrn1871
    [6] S. P. Lieske, M. Thoby-Brisson, P. Telgkamp, J. M. Ramirez, Reconfiguration of the neural network controlling multiple breathing patterns: eupnea, sighs and gasps, Nat. Neurosci., 3 (2000), 600–607. https://doi.org/10.1038/75776 doi: 10.1038/75776
    [7] P. Banovcin, J. Seidenberg, H. von der Hardt, Assessment of tidal breathing patterns for monitoring of bronchial obstruction in infants, Pediatr. Res., 38 (1995), 218–220. https://doi.org/10.1203/00006450-199508000-00014 doi: 10.1203/00006450-199508000-00014
    [8] A. K. Tryba, F. Peña, S. P. Lieske, J. C. Viemari, M. Thoby-Brisson, J. M. Ramirez, Differential modulation of neural network and pacemaker activity underlying eupnea and sigh-breathing activities, J. Neurophysiol., 99 (2008), 2114–2125. https://doi.org/10.1152/jn.01192.2007 doi: 10.1152/jn.01192.2007
    [9] A. L. Bianchi, M. Denavit-Saubié, J. Champagnat, Central control of breathing in mammals: neuronal circuitry, membrane properties, and neurotransmitters, Physiol. Rev., 75 (1995), 1–45. https://doi.org/10.1152/physrev.1995.75.1.1 doi: 10.1152/physrev.1995.75.1.1
    [10] M. I. Cohen, Neurogenesis of respiratory rhythm in the mammal, Physiol. Rev., 59 (1979), 1105–1173. https://doi.org/10.1152/physrev.1979.59.4.1105 doi: 10.1152/physrev.1979.59.4.1105
    [11] D. W. Richter, K. Ballanyi, S. Schwarzacher, Mechanisms of respiratory rhythm generation, Curr. Opin. Neurobiol., 2 (1992), 788–793. https://doi.org/10.1016/0959-4388(92)90135-8 doi: 10.1016/0959-4388(92)90135-8
    [12] I. A. Rybak, A. P. L. Abdala, S. N. Markin, J. F. R. Paton, J. C. Smith, Spatial organization and state-dependent mechanisms for respiratory rhythm and pattern generation, Prog. Brain Res., 165 (2007), 201–220. https://doi.org/10.1016/S0079-6123(06)65013-9 doi: 10.1016/S0079-6123(06)65013-9
    [13] J. C. Smith, H. H. Ellenberger, K. Ballanyi, D. W. Richter, J. L. Feldman, Pre-Bötzinger complex: a brainstem region that may generate respiratory rhythm in mammals, Science, 254 (1991), 726–729. https://doi.org/10.1126/science.1683005 doi: 10.1126/science.1683005
    [14] S. M. Johnson, J. C. Smith, G. D. Funk, J. L. Feldman, Pacemaker behavior of respiratory neurons in medullary slices from neonatal rat, J. Neurophysiol., 72 (1994), 2598–2608. https://doi.org/10.1152/jn.1994.72.6.2598 doi: 10.1152/jn.1994.72.6.2598
    [15] J. C. Rekling, J. L. Feldman, PreBötzinger complex and pacemaker neurons: hypothesized site and kernel for respiratory rhythm generation, Annu. Rev. Physiol., 60 (1998), 385–405. https://doi.org/10.1146/annurev.physiol.60.1.385 doi: 10.1146/annurev.physiol.60.1.385
    [16] N. Koshiya, J. C. Smith, Neuronal pacemaker for breathing visualized in vitro, Nature, 400 (1999), 360–363. https://doi.org/10.1038/22540 doi: 10.1038/22540
    [17] C. A. Del Negro, S. M. Johnson, R. J. Butera, J. C. Smith, Models of respiratory rhythm generation in the pre-Bötzinger complex. III. Experimental tests of model predictions, J. Neurophysiol., 86 (2001), 59–74. https://doi.org/10.1152/jn.2001.86.1.59 doi: 10.1152/jn.2001.86.1.59
    [18] R. J. Butera, J. Rinzel, J. C. Smith, Models of respiratory rhythm generation in the pre-Bötzinger complex. I. Bursting pacemaker neurons, J. Neurophysiol., 82 (1999), 382–397. https://doi.org/10.1152/jn.1999.82.1.382 doi: 10.1152/jn.1999.82.1.382
    [19] R. J. Butera, J. Rinzel, J. C. Smith, Models of respiratory rhythm generation in the pre-Bötzinger complex. II. Populations of coupled pacemaker neurons, J. Neurophysiol., 82 (1999), 398–415. https://doi.org/10.1152/jn.1999.82.1.398 doi: 10.1152/jn.1999.82.1.398
    [20] J. Best, A. Borisyuk, J. Rubin, D. Terman, M. Wechselberger, The dynamic range of bursting in a model respiratory pacemaker network, SIAM J. Appl. Dyn. Syst., 4 (2005), 1107–1139. https://doi.org/10.1137/050625540 doi: 10.1137/050625540
    [21] R. H. Lee, C. J. Heckman, Essential role of a fast persistent inward current in action potential initiation and control of rhythmic firing, J. Neurophysiol., 85 (2001), 472–475. https://doi.org/10.1152/jn.2001.85.1.472 doi: 10.1152/jn.2001.85.1.472
    [22] J. F. R. Paton, A. P. L. Abdala, H. Koizumi, J. C. Smith, W. M. St John, Respiratory rhythm generation during gasping depends on persistent sodium current, Nat. Neurosci., 9 (2006), 311–313. https://doi.org/10.1038/nn1650 doi: 10.1038/nn1650
    [23] R. W. Pace, D. D. Mackay, J. L. Feldman, C. A. Del Negro, Role of persistent sodium current in mouse preBötzinger complex neurons and respiratory rhythm generation, J. Physiol., 580 (2007), 485–496. https://doi.org/10.1113/jphysiol.2006.124602 doi: 10.1113/jphysiol.2006.124602
    [24] R. W. Pace, D. D. Mackay, J. L. Feldman, C. A. Del Negro, Inspiratory bursts in the preBötzinger complex depend on a calcium-activated nonspecific cation current linked to glutamate receptors in neonatal mice, J. Physiol., 582 (2007), 113–125. https://doi.org/10.1113/jphysiol.2007.133660 doi: 10.1113/jphysiol.2007.133660
    [25] E. A. Crowder, M. S. Saha, R. W. Pace, H. Zhang, G. D. Prestwich, C. A. Del Negro, Phosphatidylinositol 4, 5-bisphosphate regulates inspiratory burst activity in the neonatal mouse preBötzinger complex, J. Physiol., 582 (2007), 1047–1058. https://doi.org/10.1113/jphysiol.2007.134577 doi: 10.1113/jphysiol.2007.134577
    [26] J. E. Rubin, J. A. Hayes, J. L. Mendenhall, C. A. Del Negro, Calcium-activated nonspecific cation current and synaptic depression promote network-dependent burst oscillations, Proc. Natl. Acad. Sci. U.S.A., 106 (2009), 2939–2944. https://doi.org/10.1073/pnas.0808776106 doi: 10.1073/pnas.0808776106
    [27] J. R. Dunmyre, C. A. Del Negro, J. E. Rubin, Interactions of persistent sodium and calcium-activated nonspecific cationic currents yield dynamically distinct bursting regimes in a model of respiratory neurons, J. Comput. Neurosci., 31 (2011), 305–328. https://doi.org/10.1007/s10827-010-0311-y doi: 10.1007/s10827-010-0311-y
    [28] A. Ben-Tal, J. C. Smith, A model for control of breathing in mammals: coupling neural dynamics to peripheral gas exchange and transport, J. Theor. Biol., 251 (2008), 480–497. https://doi.org/10.1016/j.jtbi.2007.12.018 doi: 10.1016/j.jtbi.2007.12.018
    [29] C. O. Diekman, P. J. Thomas, C. G. Wilson, Eupnea, tachypnea, and autoresuscitation in a closed-loop respiratory control model, J. Neurophysiol., 118 (2017), 2194–2215. https://doi.org/10.1152/jn.00170.2017 doi: 10.1152/jn.00170.2017
    [30] L. Duan, X. Chen, L. Xia, Z. Wang, Dynamics and control of mixed bursting in nonlinear pre-Bötzinger complex systems, Nonlinear Dyn., 112 (2024), 8539–8556. https://doi.org/10.1007/s11071-024-09473-3 doi: 10.1007/s11071-024-09473-3
    [31] N. Toporikova, R. J. Butera, Two types of independent bursting mechanisms in inspiratory neurons: an integrative model, J. Comput. Neurosci., 30 (2011), 515–528. https://doi.org/10.1007/s10827-010-0274-z doi: 10.1007/s10827-010-0274-z
    [32] Y. Wang, J. E. Rubin, Multiple timescale mixed bursting dynamics in a respiratory neuron model, J. Comput. Neurosci., 41 (2016), 245–268. https://doi.org/10.1007/s10827-016-0616-6 doi: 10.1007/s10827-016-0616-6
    [33] D. D. Guo, Z. S. Lü, Effect of magnetic flow and external forcing current on mixed bursting in the pre-Bötzinger complex, Chin. Phys. B, 28 (2019), 110501. https://doi.org/10.1088/1674-1056/ab43b9 doi: 10.1088/1674-1056/ab43b9
    [34] Y. Yang, Y. Li, H. Gu, Synchronization transition from bursting to spiking and bifurcation mechanism of the pre-Bötzinger complex, Acta Phys. Sin., 69 (2020), 040501. https://doi.org/10.7498/aps.69.20191509 doi: 10.7498/aps.69.20191509
    [35] L. Duan, T. Liang, Y. Zhao, H. Xi, Multi-time scale dynamics of mixed depolarization block bursting, Nonlinear Dyn., 103 (2021), 1043–1053. https://doi.org/10.1007/s11071-020-05744-x doi: 10.1007/s11071-020-05744-x
    [36] Y. Shao, F. Wu, Q. Wang, Bursting dynamics and synchronization of neuromorphic systems with VO$_2$ memristors and Josephson junctions, Nonlinear Dyn., 113 (2025), 33907–33926. https://doi.org/10.1007/s11071-025-11757-1 doi: 10.1007/s11071-025-11757-1
    [37] M. Liu, L. Duan, In-phase and anti-phase spikes synchronization within mixed bursters of the pre-Bötzinger complex, Electron. Res. Arch., 30 (2022), 961–977. https://doi.org/10.3934/era.2022050 doi: 10.3934/era.2022050
    [38] H. Hua, H. Gu, Y. Jia, Y. Li, Opposite stimulations can induce a same mixed-mode neuronal bursting containing four phases: underlying two-parameter bifurcations and threshold, Nonlinear Dyn., 113 (2025), 25153–25173. https://doi.org/10.1007/s11071-025-11387-7 doi: 10.1007/s11071-025-11387-7
    [39] M. Liu, L. Duan, Dynamics and bifurcation mechanisms of respiratory patterns under optogenetic intervention, Nonlinear Dyn., 113 (2025), 20149–20168. https://doi.org/10.1007/s11071-025-11179-z doi: 10.1007/s11071-025-11179-z
    [40] J. A. Collins, A. Rudenski, J. Gibson, L. Howard, R. O'Driscoll, Relating oxygen partial pressure, saturation and content: the haemoglobin–oxygen dissociation curve, Breathe, 11 (2015), 194–201. https://doi.org/10.1183/20734735.001415 \newpage doi: 10.1183/20734735.001415
    [41] A. Rizvi, P. Macedo, L. Babawale, H. C. Tighe, J. M. B. Hughes, J. E. Jackson, et al., Hemoglobin is a vital determinant of arterial oxygen content in hypoxemic patients with pulmonary arteriovenous malformations, Ann. Am. Thorac. Soc., 14 (2017), 903–911. https://doi.org/10.1513/AnnalsATS.201611-872OC doi: 10.1513/AnnalsATS.201611-872OC
    [42] D. R. Ouellette, The impact of anemia in patients with respiratory failure, Chest, 128 (2005), 576S–582S. https://doi.org/10.1378/chest.128.5_suppl_2.576S doi: 10.1378/chest.128.5_suppl_2.576S
    [43] J. S. Windsor, G. W. Rodway, Heights and haematology: the story of haemoglobin at altitude, Postgrad. Med. J., 83 (2007), 148–151. https://doi.org/10.1136/pgmj.2006.049734 doi: 10.1136/pgmj.2006.049734
    [44] S. Tang, W. Zhou, L. Chen, H. Yan, L. Chen, F. Luo, High altitude polycythemia and its maladaptive mechanisms: an updated review, Front. Med., 11 (2024), 1448654. https://doi.org/10.3389/fmed.2024.1448654 doi: 10.3389/fmed.2024.1448654
    [45] C. O. Diekman, P. J. Thomas, C. G. Wilson, COVID-19 and silent hypoxemia in a minimal closed-loop model of the respiratory rhythm generator, Biol. Cybern., 118 (2024), 145–163. https://doi.org/10.1007/s00422-024-00989-w doi: 10.1007/s00422-024-00989-w
    [46] B. Ermentrout, Simulating, analyzing, and animating dynamical systems: a guide to XPPAUT for researchers and students, Appl. Mech. Rev., 56 (2003), B53. https://doi.org/10.1115/1.1579454 doi: 10.1115/1.1579454
    [47] E. M. Izhikevich, Neural excitability, spiking and bursting, Int. J. Bifurcation Chaos, 10 (2000), 1171–1266. https://doi.org/10.1142/S0218127400000840
    [48] M. Chevalier, N. Toporikova, J. Simmers, M. Thoby-Brisson, Development of pacemaker properties and rhythmogenic mechanisms in the mouse embryonic respiratory network, eLife, 5 (2016), e16125. https://doi.org/10.7554/eLife.16125 doi: 10.7554/eLife.16125
    [49] Y. I. Molkov, N. A. Shevtsova, C. Park, A. Ben-Tal, J. C. Smith, J. E. Rubin, A closed-loop model of the respiratory system: focus on hypercapnia and active expiration, PLoS One, 9 (2014), e109894. https://doi.org/10.1371/journal.pone.0109894 doi: 10.1371/journal.pone.0109894
    [50] Y. I. Molkov, J. E. Rubin, I. A. Rybak, J. C. Smith, Computational models of the neural control of breathing, WIREs Syst. Biol. Med., 9 (2017), e1371. https://doi.org/10.1002/wsbm.1371 doi: 10.1002/wsbm.1371
    [51] A. Buscarino, L. Fortuna, M. Frasca, Essentials of Nonlinear Circuit Dynamics with MATLAB® and Laboratory Experiments, CRC Press, 2017. https://doi.org/10.1201/b22063
  • Reader Comments
  • © 2026 the Author(s), licensee AIMS Press. This is an open access article distributed under the terms of the Creative Commons Attribution License (http://creativecommons.org/licenses/by/4.0)
通讯作者: 陈斌, bchen63@163.com
  • 1. 

    沈阳化工大学材料科学与工程学院 沈阳 110142

  1. 本站搜索
  2. 百度学术搜索
  3. 万方数据库搜索
  4. CNKI搜索

Metrics

Article views(478) PDF downloads(40) Cited by(0)

Article outline

Figures and Tables

Figures(8)  /  Tables(2)

Other Articles By Authors

/

DownLoad:  Full-Size Img  PowerPoint
Return
Return

Catalog