Research article Special Issues

The influence of sexual structure and dual incubation delays on spreading dynamics and optimal control of a gonorrhea model

  • Published: 26 March 2026
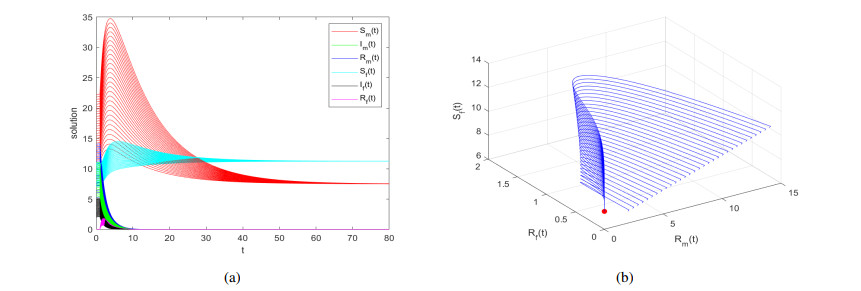
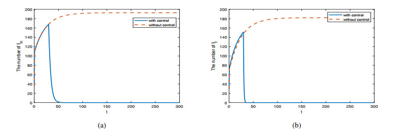
  • An SIRS (Susceptible-Infectious-Recovered-Susceptible) model with sexual structure and dual incubation delays was proposed to characterize the effects of homosexual and heterosexual behaviors on the transmission dynamics and optimal control of gonorrhea. First, the nonnegativity and boundedness of solutions were obtained, and the basic reproduction number $ \mathcal{R}_0 $ was calculated as well. Second, local and global asymptotical stability of the disease-free equilibrium was established if $ \mathcal{R}_0 < 1 $. If $ \mathcal{R}_0 > 1 $ the disease was uniformly persistent, and there existed at least one endemic equilibrium. An optimal control strategy was derived based on sensitivity analysis and practical intervention policy. Finally, the theoretical findings were illustrated through numerical simulations, revealing that targeted management of male infected individuals can markedly diminish gonorrhea prevalence, while disregarding the incubation periods tended to substantially overestimate the epidemic scale.

    Citation: Huan Yang, Long Zhang, Zhidong Teng. The influence of sexual structure and dual incubation delays on spreading dynamics and optimal control of a gonorrhea model[J]. Electronic Research Archive, 2026, 34(4): 2631-2651. doi: 10.3934/era.2026122

    Related Papers:

  • An SIRS (Susceptible-Infectious-Recovered-Susceptible) model with sexual structure and dual incubation delays was proposed to characterize the effects of homosexual and heterosexual behaviors on the transmission dynamics and optimal control of gonorrhea. First, the nonnegativity and boundedness of solutions were obtained, and the basic reproduction number $ \mathcal{R}_0 $ was calculated as well. Second, local and global asymptotical stability of the disease-free equilibrium was established if $ \mathcal{R}_0 < 1 $. If $ \mathcal{R}_0 > 1 $ the disease was uniformly persistent, and there existed at least one endemic equilibrium. An optimal control strategy was derived based on sensitivity analysis and practical intervention policy. Finally, the theoretical findings were illustrated through numerical simulations, revealing that targeted management of male infected individuals can markedly diminish gonorrhea prevalence, while disregarding the incubation periods tended to substantially overestimate the epidemic scale.



    加载中


    [1] R. C. Brunham, F. A. Plummer, A general model of sexually transmitted disease epidemiology and its implications for control, Med. Clin. N. Am., 74 (1990), 1339–1352. https://doi.org/10.1016/S0025-7125(16)30484-9 doi: 10.1016/S0025-7125(16)30484-9
    [2] World Health Organization, Implementing the global health sector strategies on HIV, viral hepatitis and sexually transmitted infections, 2022–2030: report on progress and gaps 2024, Geneva: WHO, 2024. Available from: https://www.who.int/publications/i/item/9789240094925.
    [3] N. Agyepong, U. Govinden, A. Owusu-Ofori, S. Y. Essack, Multidrug-resistant gram-negative bacterial infections in a teaching hospital in Ghana, Antimicrob. Resist. Infect. Control, 7 (2018), 37. https://doi.org/10.1186/s13756-018-0324-2 doi: 10.1186/s13756-018-0324-2
    [4] L. D. Maduna, M. M. Kock, B. M. J. W. van der Veer, O. Radebe, J. McIntyre, L. B. van Alphen, et al., Antimicrobial resistance of Neisseria gonorrhoeae isolates from high-risk men in Johannesburg, South Africa, Antimicrob. Agents Chemother., 64 (2020), e00906. https://doi.org/10.1128/aac.00906-20 doi: 10.1128/aac.00906-20
    [5] K. Jansen, G. Steffen, A. Potthoff, A. K. Schuppe, D. Beer, H. Jessen, et al., STI in times of PrEP: high prevalence of chlamydia, gonorrhea, and mycoplasma at different anatomic sites in men who have sex with men in Germany, BMC Infect. Dis., 20 (2020), 110. https://doi.org/10.1186/s12879-020-4831-4 doi: 10.1186/s12879-020-4831-4
    [6] S. Kurz, A. Ressler, What to know about gonorrhea, JAMA, 330 (2023), 1397. https://doi.org/10.1001/jama.2023.15431
    [7] M. A. Bishi, P. Kaur, M. Vyas, S. Sharma, Ameliorating gonorrhea: recent therapeutic adaptations and scope to improve its prevailing condition, Infect. Disord. Drug Targets, 24 (2024), e180124225807. https://doi.org/10.2174/0118715265258305231124105334 doi: 10.2174/0118715265258305231124105334
    [8] M. Unemo, H. S. Seifert, E. W. III Hook, S. Hawkes, F. Ndowa, J. R. Dillon, Gonorrhoea, Nat. Rev. Dis. Primers, 5 (2019), 79. https://doi.org/10.1038/s41572-019-0128-6
    [9] A. Nalado, A. Abdu, B. Adamu, M. H. Aliyu, F. A. Arogundade, A. A. Sanusi, et al., Prevalence of chronic kidney disease markers in Kumbotso rural northern Nigeria, Afr. J. Med. Med. Sci., 45 (2016), 61–65. Available from: https://pubmed.ncbi.nlm.nih.gov/28686828.
    [10] L. Ben Said, A. Conrad, S. Souza, D. Alfaiate, F. Ader, A. S. Batalla, et al., Partner treatment strategies for chlamydia and gonorrhea: time for a reappraisal, Infect. Dis. Now, 55 (2025), 105038. https://doi.org/10.1016/j.idnow.2025.105038 doi: 10.1016/j.idnow.2025.105038
    [11] C. A. Carne, I. V. Weller, A. M. Johnson, C. Loveday, F. Pearce, A. Hawkins, et al., Prevalence of antibodies to human immunodeficiency virus, gonorrhoea rates, and changed sexual behaviour in homosexual men in London, Lancet, 1 (1987), 656–658. https://doi.org/10.1016/s0140-6736(87)90415-6 doi: 10.1016/s0140-6736(87)90415-6
    [12] N. P. Pai, J. R. Dillon, A lateral flow assay for Neisseria gonorrhoeae: a step forward for an inexpensive biomarker-based diagnosis of N. gonorrhoeae at the point of care? Lancet, 403 (2024), 594–595. https://doi.org/10.1016/S0140-6736(23)02569-2
    [13] World Health Organization, WHO guidelines for the treatment of Neisseria gonorrhoeae, Geneva: WHO, 2016. Available from: https://www.who.int/publications/i/item/9789241549691.
    [14] E. W. Landhuis, Multidrug-resistant "super gonorrhea'' rallies multipronged effort, JAMA, 331 (2024), 1695–1697. https://doi.org/10.1001/jama.2023.15355 doi: 10.1001/jama.2023.15355
    [15] G. A. Bolan, P. F. Sparling, J. N. Wasserheit, The emerging threat of untreatable gonococcal infection, N. Engl. J. Med., 366 (2012), 485–487. https://doi.org/10.1056/NEJMp1112456 doi: 10.1056/NEJMp1112456
    [16] J. M. Hyman, E. A. Stanley, Using mathematical models to understand the AIDS epidemic, Math. Biosci., 90 (1988), 415–473. https://doi.org/10.1016/0025-5564(88)90078-8 doi: 10.1016/0025-5564(88)90078-8
    [17] K. J. Foreman, N. Marquez, A. Dolgert, K. Fukutaki, N. Fullman, M. McGaughey, et al., Forecasting life expectancy, years of life lost, and all-cause and cause-specific mortality for 250 causes of death: reference and alternative scenarios for 2016–40 for 195 countries and territories, Lancet, 392 (2018), 2052–2090. https://doi.org/10.1016/S0140-6736(18)31694-5 doi: 10.1016/S0140-6736(18)31694-5
    [18] J. Zhang, W. Hao, Z. Jin, The dynamics of sexually transmitted diseases with men who have sex with men, J. Math. Biol., 84 (2021), 1. https://doi.org/10.1007/s00285-021-01694-z doi: 10.1007/s00285-021-01694-z
    [19] C. C. McCluskey, E. Roth, P. van den Driessche, Implication of Ariaal sexual mixing on gonorrhea, Am. J. Hum. Biol., 17 (2005), 293–301. https://doi.org/10.1002/ajhb.20123 doi: 10.1002/ajhb.20123
    [20] C. Castillo-Chavez, W. Huang, J. Li, The effects of females' susceptibility on the coexistence of multiple pathogen strains of sexually transmitted diseases, J. Math. Biol., 35 (1997), 503–522. https://doi.org/10.1007/s002850050063 doi: 10.1007/s002850050063
    [21] C. Castillo-Chavez, W. Huang, J. Li, Competitive exclusion and coexistence of multiple strains in an SIS STD model, SIAM J. Appl. Math., 59 (1999), 1790–1811. https://doi.org/10.1137/S0036139997325862 doi: 10.1137/S0036139997325862
    [22] Y. H. Hsieh, C. H. Chen, Modelling the social dynamics of a sex industry: its implications for spread of HIV/AIDS, Bull. Math. Biol., 66 (2004), 143–166. https://doi.org/10.1016/j.bulm.2003.08.004 doi: 10.1016/j.bulm.2003.08.004
    [23] Y. H. Hsieh, Y. S. Wang, Basic reproduction number for HIV model incorporating commercial sex and behavior change, Bull. Math. Biol., 68 (2006), 551–575. https://doi.org/10.1007/s11538-005-9050-z doi: 10.1007/s11538-005-9050-z
    [24] B. R. Morin, L. Medina-Rios, E. T. Camacho, C. Castillo-Chavez, Static behavioral effects on gonorrhea transmission dynamics in a MSM population, J. Theor. Biol., 267 (2010), 35–40. https://doi.org/10.1016/j.jtbi.2010.07.027 doi: 10.1016/j.jtbi.2010.07.027
    [25] F. Saldana, I. Barradas, The role of behavioral changes and prompt treatment in the control of STIs, Infect. Dis. Modell., 4 (2019), 1–10. https://doi.org/10.1016/j.idm.2018.12.001 doi: 10.1016/j.idm.2018.12.001
    [26] E. Bonyah, M. A. Khan, K. O. Okosun, J. F. Gómez-Aguilar, Modelling the effects of heavy alcohol consumption on the transmission dynamics of gonorrhea with optimal control, Math. Biosci., 309 (2019), 1–11. https://doi.org/10.1016/j.mbs.2018.12.015 doi: 10.1016/j.mbs.2018.12.015
    [27] Y. A. Terefe, S. M. Kassa, M. D. Asfaw, C. Venter, The use of an imperfect vaccination and awareness campaign in the control of antibiotic resistant gonorrhoea infection: a mathematical modelling perspective, Appl. Math. Modell., 135 (2024), 149–172. https://doi.org/10.1016/j.apm.2024.06.042 doi: 10.1016/j.apm.2024.06.042
    [28] C. Kenyon, B. Herrmann, G. Hughes, H. J. C. de Vries, Management of asymptomatic sexually transmitted infections in Europe: towards a differentiated, evidence-based approach, Lancet Reg. Health Eur., 34 (2023), 100743. https://doi.org/10.1016/j.lanepe.2023.100743 doi: 10.1016/j.lanepe.2023.100743
    [29] L. M. Gorgos, J. M. Marrazzo, Sexually transmitted infections among women who have sex with women, Clin. Infect. Dis., 53 (2011), S84–S91. https://doi.org/10.1093/cid/cir697 doi: 10.1093/cid/cir697
    [30] J. Tran, C. K. Fairley, J. J. Ong, T. R. Phillips, E. T. Aung, E. P. F. Chow, The incubation for urethral gonorrhoea among men who have sex with men with and without oropharyngeal gonorrhoea, Epidemiol. Infect., 152 (2024), e104. https://doi.org/10.1017/S095026882400089X doi: 10.1017/S095026882400089X
    [31] J. Hale, S. V. Lunel, An Introduction to Functional Differential Equations, Springer-Verlag, New York, 1993.
    [32] H. Smith, Monotone Dynamical Systems: An Introduction to the Theory of Competitive and Cooperative Systems, American Mathematical Society, Providence, RI, 1995. https://doi.org/10.1090/surv/041
    [33] Z. Bai, X. Q. Zhao, Basic reproduction ratios for periodic and time-delayed compartmental models with impulses, J. Math. Biol., 80 (2020), 1095–1117. https://doi.org/10.1007/s00285-019-01452-2 doi: 10.1007/s00285-019-01452-2
    [34] J. P. La Salle, The Stability of Dynamical Systems, Society for Industrial and Applied Mathematics, Philadelphia, PA, 1976. https://doi.org/10.1137/1.9781611970432
    [35] H. R. Thieme, Persistence under relaxed point-dissipativity (with application to an endemic model), SIAM J. Math. Anal., 24 (1993), 407–435. https://doi.org/10.1137/0524026 doi: 10.1137/0524026
    [36] X. Q. Zhao, Uniform persistence in processes with application to nonautonomous competitive models, J. Math. Anal. Appl., 258 (2001), 87–101. https://doi.org/10.1006/jmaa.2000.7361 doi: 10.1006/jmaa.2000.7361
    [37] L. Göllmann, D. Kern, H. Maurer, Optimal control problems with delays in state and control variables subject to mixed control–state constraints, Optim. Control. Appl. Methods, 30 (2009), 341–365. https://doi.org/10.1002/oca.843 doi: 10.1002/oca.843
    [38] M. Martcheva, An Introduction to Mathematical Epidemiology, Springer, New York, 2015. https://doi.org/10.1007/978-1-4899-7612-3
    [39] R. Rishel, W. Fleming, Deterministic and Stochastic Optimal Control, New York, 1975. https://doi.org/10.1002/zamm.19790509040
    [40] J. K. K. Asamoah, G. Q. Sun, Fractional Caputo and sensitivity heat map for a gonorrhea transmission model in a sex structured population, Chaos, Solitons Fractals, 175 (2023), 114026. https://doi.org/10.1016/j.chaos.2023.114026 doi: 10.1016/j.chaos.2023.114026
    [41] S. Marino, I. B. Hogue, C. J. Ray, D. E. Kirschner, A methodology for performing global uncertainty and sensitivity analysis in systems biology, J. Theor. Biol., 254 (2008), 178–196. https://doi.org/10.1016/j.jtbi.2008.04.011 doi: 10.1016/j.jtbi.2008.04.011
  • Reader Comments
  • © 2026 the Author(s), licensee AIMS Press. This is an open access article distributed under the terms of the Creative Commons Attribution License (http://creativecommons.org/licenses/by/4.0)
通讯作者: 陈斌, bchen63@163.com
  • 1. 

    沈阳化工大学材料科学与工程学院 沈阳 110142

  1. 本站搜索
  2. 百度学术搜索
  3. 万方数据库搜索
  4. CNKI搜索

Metrics

Article views(367) PDF downloads(31) Cited by(0)

Article outline

Figures and Tables

Figures(10)  /  Tables(3)

Other Articles By Authors

/

DownLoad:  Full-Size Img  PowerPoint
Return
Return

Catalog