Research article Special Issues

Bayesian analysis of a novel sophisticated stochastic volatility model: A comprehensive empirical application to stock and crude oil markets price returns

  • Published: 20 March 2026
  • MSC : 62F15, 91B70, 91Gxx, 91G70

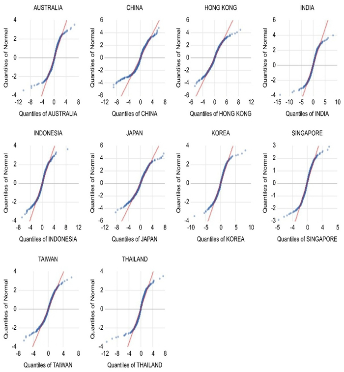
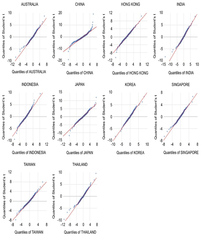
  • This study primarily aimed to apply a novel, advanced stochastic volatility model incorporating leverage and an asymmetrically heavy-tailed distribution (ASV-GHskw) to 18 financial asset returns, including 10 Asia-Pacific and six European stock market returns and two crude oil market returns. The study employed a generalized hyperbolic skew student's t-distribution using the Bayesian approach. The study's secondary aim was to concentrate on one-day-ahead downside market risk measurement of the related financial asset returns under Basel Ⅳ regulations based on the ASV-GHskw model. For comparison, an asymmetric stochastic volatility model with a symmetric student's t-distribution (ASV-st) was also considered. The findings indicated that the proposed Bayesian Markov chain Monte Carlo (MCMC) approach was sufficiently efficient, especially when estimating the ASV-GHskw model parameters. Further, the ASV-GHskw model provided a better fit for all financial asset returns examined than its competing ASV-st model. Moreover, the results revealed that the financial institutions taking positions in the examined financial markets will be required to hold additional regulatory capital for market risk exposures under the latest Basel capital regulations. Lastly, the findings give valuable information for risk-averse investors interested in the examined financial markets, as they expect to receive higher-than-average returns by holding less-risky assets.

    Citation: Onder Buberkoku. Bayesian analysis of a novel sophisticated stochastic volatility model: A comprehensive empirical application to stock and crude oil markets price returns[J]. AIMS Mathematics, 2026, 11(3): 7400-7435. doi: 10.3934/math.2026304

    Related Papers:

  • This study primarily aimed to apply a novel, advanced stochastic volatility model incorporating leverage and an asymmetrically heavy-tailed distribution (ASV-GHskw) to 18 financial asset returns, including 10 Asia-Pacific and six European stock market returns and two crude oil market returns. The study employed a generalized hyperbolic skew student's t-distribution using the Bayesian approach. The study's secondary aim was to concentrate on one-day-ahead downside market risk measurement of the related financial asset returns under Basel Ⅳ regulations based on the ASV-GHskw model. For comparison, an asymmetric stochastic volatility model with a symmetric student's t-distribution (ASV-st) was also considered. The findings indicated that the proposed Bayesian Markov chain Monte Carlo (MCMC) approach was sufficiently efficient, especially when estimating the ASV-GHskw model parameters. Further, the ASV-GHskw model provided a better fit for all financial asset returns examined than its competing ASV-st model. Moreover, the results revealed that the financial institutions taking positions in the examined financial markets will be required to hold additional regulatory capital for market risk exposures under the latest Basel capital regulations. Lastly, the findings give valuable information for risk-averse investors interested in the examined financial markets, as they expect to receive higher-than-average returns by holding less-risky assets.



    加载中


    [1] W. Cai, J. Chen, J. Hong, F. Jiang, Forecasting Chinese stock market volatility with economic variables, Emerg. Mark. Finance Trade, 53 (2017), 521–533. https://doi.org/10.1080/1540496X.2015.1093878 doi: 10.1080/1540496X.2015.1093878
    [2] J. Luo, L. Chen, Modeling and forecasting the multivariate realized volatility of financial markets with time-varying sparsity, Emerg. Mark. Finance Trade, 56 (2020), 392–408. https://doi.org/10.1080/1540496X.2019.1567264 doi: 10.1080/1540496X.2019.1567264
    [3] G. Bekaert, M. Hoerova, M. L. Duca, Risk, uncertainty and monetary policy, J. Monet. Econ., 60 (2013), 771–788. https://doi.org/10.1016/j.jmoneco.2013.06.003 doi: 10.1016/j.jmoneco.2013.06.003
    [4] T. Kaizoji, Speculative bubbles and crashes in stock markets: An interacting-agent model of speculative activity, Phys. A, 287 (2000), 493–506. https://doi.org/10.1016/S0378-4371(00)00388-5 doi: 10.1016/S0378-4371(00)00388-5
    [5] D. Zhang, M. Hu, Q. Ji, Financial markets under the global pandemic of COVID-19, Finance Res. Lett., 36 (2020), 101528. https://doi.org/10.1016/j.frl.2020.101528 doi: 10.1016/j.frl.2020.101528
    [6] G. Caginalp, V. Ilieva, D. Porter, V. Smith, Do speculative stocks lower prices and increase volatility of value stocks? J. Psychol. Financ. Mark., 3 (2002), 118–132. https://doi.org/10.1207/S15327760JPFM0302_07 doi: 10.1207/S15327760JPFM0302_07
    [7] J. Zhou, M. Sun, D. Han, C. Gao, Analysis of oil price fluctuation under the influence of crude oil stocks and US dollar index – based on time series network model, Phys. A, 582 (2021), 126218. https://doi.org/10.1016/j.physa.2021.126218 doi: 10.1016/j.physa.2021.126218
    [8] T. Sun, The impact of global liquidity on financial landscapes and risks in the ASEAN-5 countries, IMF Work. Pap., 2015 (2015). https://doi.org/10.5089/9781513543734.001 doi: 10.5089/9781513543734.001
    [9] B. Kocaarslan, U. Soytas, Dynamic correlations between oil prices and the stock prices of clean energy and technology firms: The role of reserve currency (US dollar), Energy Econ., 84 (2019), 104502. https://doi.org/10.1016/j.eneco.2019.104502 doi: 10.1016/j.eneco.2019.104502
    [10] G. D. Lo, I. Marcelin, T. Bassène, B. Sène, The Russo-Ukrainian war and financial markets: The role of dependence on Russian commodities, Finance Res. Lett., 50 (2022), 103194. https://doi.org/10.1016/j.frl.2022.103194 doi: 10.1016/j.frl.2022.103194
    [11] C. Pederzoli, Stochastic volatility and GARCH: A comparison based on UK stock data, Eur. J. Finance, 12 (2006), 41–59. https://doi.org/10.1080/13518470500039121 doi: 10.1080/13518470500039121
    [12] C. M. Hafner, A. Preminger, Deciding between GARCH and stochastic volatility via strong decision rules, J. Stat. Plan. Inference, 140 (2010), 791–805. https://doi.org/10.1016/j.jspi.2009.09.008 doi: 10.1016/j.jspi.2009.09.008
    [13] M. Balcilar, Z. A. Ozdemir, A re-examination of growth and growth uncertainty relationship in a stochastic volatility in the mean model with time-varying parameters, Empirica, 47 (2020), 611–641. https://doi.org/10.1007/s10663-019-09445-6 doi: 10.1007/s10663-019-09445-6
    [14] N. Krichene, Modeling stochastic volatility with application to stock returns, IMF Work. Pap., 2003 (2003). https://doi.org/10.5089/9781451854848.001 doi: 10.5089/9781451854848.001
    [15] E. Jacquier, N. G. Polson, P. E. Rossi, Bayesian analysis of stochastic volatility models with fat-tails and correlated errors, J. Econom., 122 (2004), 185–212. https://doi.org/10.1016/j.jeconom.2003.09.001 doi: 10.1016/j.jeconom.2003.09.001
    [16] P. B. Quang, T. Klein, N. H. Nguyen, T. Walther, Value-at-risk for South-East Asian stock markets: Stochastic volatility vs. GARCH, J. Risk Financial Manag., 11 (2018), 18. https://doi.org/10.3390/jrfm11020018 doi: 10.3390/jrfm11020018
    [17] J. Ding, N. Meade, Forecasting accuracy of stochastic volatility, GARCH and EWMA models under different volatility scenarios, Appl. Financ. Econ., 20 (2010), 771–783. https://doi.org/10.1080/09603101003636188 doi: 10.1080/09603101003636188
    [18] N. Meddahi, E. Renault, Temporal aggregation of volatility models, J. Econom., 119 (2004), 355–379. https://doi.org/10.1016/S0304-4076(03)00200-8 doi: 10.1016/S0304-4076(03)00200-8
    [19] M. Balcilar, Z. A. Ozdemir, The nexus between the oil price and its volatility risk in a stochastic volatility in the mean model with time-varying parameters, Resour. Policy, 61 (2019), 572–584. https://doi.org/10.1016/j.resourpol.2018.07.001 doi: 10.1016/j.resourpol.2018.07.001
    [20] J. Yu, On leverage in a stochastic volatility model, J. Econom., 127 (2005), 165–178. https://doi.org/10.1016/j.jeconom.2004.08.002 doi: 10.1016/j.jeconom.2004.08.002
    [21] E. Ghysels, A. C. Harvey, E. Renault, 5 Stochastic volatility, Handb. Stat., 14 (1996), 119–191. https://doi.org/10.1016/s0169-7161(96)14007-4 doi: 10.1016/s0169-7161(96)14007-4
    [22] S. Kim, N. Shepherd, S. Chib, Stochastic volatility: Likelihood inference and comparison with ARCH models, Rev. Econ. Stud., 65 (1998), 361–393. https://doi.org/10.1111/1467-937X.00050 doi: 10.1111/1467-937X.00050
    [23] A. K. Tiwari, S. Kumar, R. Pathak, Modelling the dynamics of Bitcoin and Litecoin: GARCH versus stochastic volatility models, Appl. Econ., 51 (2019), 4073–4082. https://doi.org/10.1080/00036846.2019.1588951 doi: 10.1080/00036846.2019.1588951
    [24] A. Cassagnes, Y. Chen, H. Ohashi, Path integral pricing of outside barrier Asian options, Phys. A, 394 (2014), 266–276. https://doi.org/10.1016/j.physa.2013.09.067 doi: 10.1016/j.physa.2013.09.067
    [25] F. Selçuk, Asymmetric stochastic volatility in emerging stock markets, Appl. Financ. Econ., 15 (2005), 867–874. https://doi.org/10.1080/09603100500077136 doi: 10.1080/09603100500077136
    [26] M. Vo, Oil and stock market volatility: A multivariate stochastic volatility perspective, Energy Econ., 33 (2011), 956–965. https://doi.org/10.1016/j.eneco.2011.03.005 doi: 10.1016/j.eneco.2011.03.005
    [27] M. Billio, L. Pelizzon, Volatility and shocks spillover before and after EMU in European stock markets, J. Multinatl. Financ. Manage., 13 (2003), 323–340. https://doi.org/10.1016/S1042-444X(03)00014-8 doi: 10.1016/S1042-444X(03)00014-8
    [28] Y. Omori, S. Chib, N. Shephard, J. Nakajima, Stochastic volatility with leverage: Fast and efficient likelihood inferences, J. Econom., 140 (2007), 425–449. https://doi.org/10.1016/j.jeconom.2006.07.008 doi: 10.1016/j.jeconom.2006.07.008
    [29] J. Nakajima, Y. Omori, Leverage, heavy–tails and correlated jumps in stochastic volatility models, Comput. Stat. Data Anal., 53 (2009), 2335–2353. https://doi.org/10.1016/j.csda.2008.03.015 doi: 10.1016/j.csda.2008.03.015
    [30] M. J. Jensen, J. M. Maheu, Bayesian semiparametric stochastic volatility modeling, J. Econom., 157 (2010), 306–316. https://doi.org/10.1016/j.jeconom.2010.01.014 doi: 10.1016/j.jeconom.2010.01.014
    [31] M. J. Jensen, J. M. Maheu, Estimating a semiparametric asymmetric stochastic volatility model with a Dirichlet process mixture, J. Econom., 178 (2014), 523–538. https://doi.org/10.1016/j.jeconom.2013.08.018 doi: 10.1016/j.jeconom.2013.08.018
    [32] S. Shi, X. B. Liu, J. Yu, Fractional stochastic volatility model, J. Time Ser. Anal., 46 (2025), 378–397. https://doi.org/10.1111/jtsa.12749 doi: 10.1111/jtsa.12749
    [33] P. Bank, C. Bayer, P. K. Friz, L. Pelizzari, Rough PDEs for local stochastic volatility models, Math. Finance, 35 (2025), 661–681. https://doi.org/10.1111/mafi.12458 doi: 10.1111/mafi.12458
    [34] P. Otto, O. Doğan, S. Taşpınar, W. Schmid, A. K. Bera, Spatial and spatiotemporal volatility models: A review, J. Econ. Surv., 39 (2025), 1037–1091. https://doi.org/10.1111/joes.12643 doi: 10.1111/joes.12643
    [35] W. Yang, J. Ma, Z. Cui, A general valuation framework for rough stochastic local volatility models and applications, Eur. J. Oper. Res., 322 (2025), 307–324. https://doi.org/10.1016/j.ejor.2024.11.002 doi: 10.1016/j.ejor.2024.11.002
    [36] P. J. Deschamps, Bayesian estimation of generalized hyperbolic skewed Student GARCH models, Comput. Stat. Data Anal., 56 (2012), 3035–3054. https://doi.org/10.1016/j.csda.2011.10.021 doi: 10.1016/j.csda.2011.10.021
    [37] J. Nakajima, Y. Omori, Stochastic volatility model with leverage and asymmetrically heavy-tailed error using GH skew Student's t-distribution, Comput. Stat. Data Anal., 56 (2012), 3690–3704. https://doi.org/10.1016/j.csda.2010.07.012 doi: 10.1016/j.csda.2010.07.012
    [38] K. Aas, I. H. Haff, The generalized hyperbolic skew Student's t-distribution, J. Financ. Econom., 4 (2006), 275–309. https://doi.org/10.1093/jjfinec/nbj006 doi: 10.1093/jjfinec/nbj006
    [39] P. L. Lafosse, G. Rodríguez, An empirical application of a stochastic volatility model with GH skew Student's t-distribution to the volatility of Latin-American stock returns, Q. Rev. Econ. Finance, 69 (2018), 155–173. https://doi.org/10.1016/j.qref.2018.01.002 doi: 10.1016/j.qref.2018.01.002
    [40] Y. Chen, W. Härdle, S. O. Jeong, Nonparametric risk management with generalized hyperbolic distributions, J. Amer. Statist. Assoc., 103 (2008), 910–923. https://doi.org/10.1198/016214507000001003 doi: 10.1198/016214507000001003
    [41] D. B. Nugroho, T. Morimoto, Box–Cox realized asymmetric stochastic volatility models with generalized Student's t-error distributions, J. Appl. Stat., 43 (2016), 1906–1927. https://doi.org/10.1080/02664763.2015.1125862 doi: 10.1080/02664763.2015.1125862
    [42] J. Nakajima, Bayesian analysis of multivariate stochastic volatility with skew return distribution, Econom. Rev., 36 (2017), 546–562. https://doi.org/10.1080/07474938.2014.977093 doi: 10.1080/07474938.2014.977093
    [43] Y. Omori, T. Watanabe, Block sampler and posterior mode estimation for asymmetric stochastic volatility models, Comput. Stat. Data Anal., 52 (2008), 2892–2910. https://doi.org/10.1016/j.csda.2007.09.001 doi: 10.1016/j.csda.2007.09.001
    [44] L. T. Orlowski, Financial crisis and extreme market risks: Evidence from Europe, Rev. Financ. Econ., 21 (2012), 120–130. https://doi.org/10.1016/j.rfe.2012.06.006 doi: 10.1016/j.rfe.2012.06.006
    [45] A. K. Pradhan, A. K. Tiwari, Estimating the market risk of clean energy technologies companies using the expected shortfall approach, Renew. Energy, 177 (2021), 95–100. https://doi.org/10.1016/j.renene.2021.05.134 doi: 10.1016/j.renene.2021.05.134
    [46] K. Inui, M. Kijima, On the significance of expected shortfall as a coherent risk measure, J. Bank. Finance, 29 (2005), 853–864. https://doi.org/10.1016/j.jbankfin.2004.08.005 doi: 10.1016/j.jbankfin.2004.08.005
    [47] R. Kellner, D. Rösch, Quantifying market risk with Value-at-Risk or expected shortfall? – Consequences for capital requirements and model risk, J. Econ. Dyn. Control, 68 (2016), 45–63. https://doi.org/10.1016/j.jedc.2016.05.002 doi: 10.1016/j.jedc.2016.05.002
    [48] P. Artzner, F. Delbaen, J. M. Eber, D. Heath, Thinking coherently—Generalised scenatios rather than VAR should be used when calculating regulatory capital, Risk, 10 (1997), 68–72.
    [49] P. Artzner, F. Delbaen, J. M. Eber, D. Heath, Coherent measures of risk, Math. Finance, 9 (1999), 203–228. https://doi.org/10.1111/1467-9965.00068 doi: 10.1111/1467-9965.00068
    [50] J. Geweke, G. Amisano, Comparing and evaluating Bayesian predictive distributions of asset returns, Int. J. Forecast., 26 (2010), 216–230. https://doi.org/10.1016/j.ijforecast.2009.10.007 doi: 10.1016/j.ijforecast.2009.10.007
    [51] P. Koch-Medina, C. Munari, Unexpected shortfalls of expected shortfall: Extreme default profiles and regulatory arbitrage, J. Bank. Finance, 62 (2016), 141–151. https://doi.org/10.1016/j.jbankfin.2015.11.006 doi: 10.1016/j.jbankfin.2015.11.006
    [52] K. K. Osmundsen, Using expected shortfall for credit risk regulation, J. Int. Financ. Mark. Inst. Money, 57 (2018), 80–93. https://doi.org/10.1016/j.intfin.2018.07.001 doi: 10.1016/j.intfin.2018.07.001
    [53] A. Assaf, The stochastic volatility model, regime switching and value-at-risk (VaR) in international equity markets, J. Math. Finance, 7 (2017), 491–512. https://doi.org/10.4236/jmf.2017.72026 doi: 10.4236/jmf.2017.72026
    [54] T. G. Andersen, Return volatility and trading volume: An information flow interpretation of stochastic volatility, J. Finance, 51 (1996), 169–204. https://doi.org/10.1111/j.1540-6261.1996.tb05206.x doi: 10.1111/j.1540-6261.1996.tb05206.x
    [55] R. Liesenfeld, R. C. Jung, Stochastic volatility models: Conditional normality versus heavy-tailed distributions, J. Appl. Econometrics, 15 (2000), 137–160.
    [56] E. I. Delatola, J. E. Griffin, A Bayesian semiparametric model for volatility with a leverage effect, Comput. Stat. Data Anal., 60 (2013), 97–110. https://doi.org/10.1016/j.csda.2012.10.023 doi: 10.1016/j.csda.2012.10.023
    [57] X. L. Gong, X. H. Liu, X. Xiong, X. T. Zhuang, Modeling volatility dynamics using non-Gaussian stochastic volatility model based on band matrix routine, Chaos Solitons Fract., 114 (2018), 193–201. https://doi.org/10.1016/j.chaos.2018.07.010 doi: 10.1016/j.chaos.2018.07.010
    [58] A. Phillip, J. Chan, S. Peiris, On generalized bivariate Student-t Gegenbauer long memory stochastic volatility models with leverage: Bayesian forecasting of cryptocurrencies with a focus on Bitcoin, Econ. Stat., 16 (2020), 69–90. https://doi.org/10.1016/j.ecosta.2018.10.003 doi: 10.1016/j.ecosta.2018.10.003
    [59] K. Saranya, P. K. Prasanna, Estimating stochastic volatility with jumps and asymmetry in Asian markets, Finance Res. Lett., 25 (2018), 145–153. https://doi.org/10.1016/j.frl.2017.10.021 doi: 10.1016/j.frl.2017.10.021
    [60] G. F. Loudon, Is the risk–return relation positive? Further evidence from a stochastic volatility in mean approach, Appl. Financ. Econ., 16 (2006), 981–992. https://doi.org/10.1080/09603100600825269 doi: 10.1080/09603100600825269
    [61] A. Y. Huang, Volatility forecasting in emerging markets with application of stochastic volatility model, Appl. Financ. Econ., 21 (2011), 665–681. https://doi.org/10.1080/09603107.2010.535781 doi: 10.1080/09603107.2010.535781
    [62] A. Virbickaitė, M. C. Ausín, P. Galeano, Copula stochastic volatility in oil returns: Approximate Bayesian computation with volatility prediction, Energy Econ., 92 (2020), 104961. https://doi.org/10.1016/j.eneco.2020.104961 doi: 10.1016/j.eneco.2020.104961
    [63] D. I. Stern, Limits to substitution and irreversibility in production and consumption: A neoclassical interpretation of ecological economics, Ecol. Econ., 21 (1997), 197–215. https://doi.org/10.1016/S0921-8009(96)00103-6 doi: 10.1016/S0921-8009(96)00103-6
    [64] D. E. Kayalar, C. C. Küçüközmen, A. S. Selcuk-Kestel, The impact of crude oil prices on financial market indicators: Copula approach, Energy Econ., 61 (2017), 162–173. https://doi.org/10.1016/j.eneco.2016.11.016 doi: 10.1016/j.eneco.2016.11.016
    [65] H. Min, Examining the impact of energy price volatility on commodity prices from energy supply chain perspectives, Energies, 15 (2022), 7957. https://doi.org/10.3390/en15217957 doi: 10.3390/en15217957
    [66] J. M. Montero, G. Fernández-Avilés, M. C. García, Estimation of asymmetric stochastic volatility models: Application to daily average prices of energy products, Int. Stat. Rev., 78 (2010), 330–347. https://doi.org/10.1111/j.1751-5823.2010.00125.x doi: 10.1111/j.1751-5823.2010.00125.x
    [67] I. Chatziantoniou, M. Filippidis, G. Filis, D. Gabauer, A closer look into the global determinants of oil price volatility, Energy Econ., 95 (2021), 105092. https://doi.org/10.1016/j.eneco.2020.105092 doi: 10.1016/j.eneco.2020.105092
    [68] R. S. Pindyck, Volatility in natural gas and oil markets, J. Energy Dev., 30 (2004), 1.
    [69] J. Chai, L. M. Xing, X. Y. Zhou, Z. G. Zhang, J. X. Li, Forecasting the WTI crude oil price by a hybrid-refined method, Energy Econ., 71 (2018), 114–127. https://doi.org/10.1016/j.eneco.2018.02.004 doi: 10.1016/j.eneco.2018.02.004
    [70] D. Zhang, Q. Ji, A. M. Kutan, Dynamic transmission mechanisms in global crude oil prices: Estimation and implications, Energy, 175 (2019), 1181–1193. https://doi.org/10.1016/j.energy.2019.03.162 doi: 10.1016/j.energy.2019.03.162
    [71] M. Caporin, F. Fontini, E. Talebbeydokhti, Testing persistence of WTI and Brent long-run relationship after the shale oil supply shock, Energy Econ., 79 (2019), 21–31. https://doi.org/10.1016/j.eneco.2018.08.022 doi: 10.1016/j.eneco.2018.08.022
    [72] W. Mensi, M. Ur Rehman, X. V. Vo, Dynamic frequency relationships and volatility spillovers in natural gas, crude oil, gas oil, gasoline, and heating oil markets: Implications for portfolio management, Resour. Policy, 73 (2021), 102172. https://doi.org/10.1016/j.resourpol.2021.102172 doi: 10.1016/j.resourpol.2021.102172
    [73] C. Purfield, H. Oura, C. Kramer, A. Jobst, Asian equity markets: Growth, opportunities, and challenges, IMF Work. Pap., 2006.
    [74] J. Hsieh, C. C. Nieh, An overview of Asian equity markets, Asian-Pac. Econ. Lit., 24 (2010), 19–51. https://doi.org/10.1111/j.1467-8411.2010.01259.x doi: 10.1111/j.1467-8411.2010.01259.x
    [75] S. W. Kim, Y. M. Kim, M. J. Choi, Asia-Pacific stock market integration: New evidence by incorporating regime changes, Emerg. Mark. Finance Trade, 51 (2015), S68–S88. https://doi.org/10.1080/1540496X.2015.1026726 doi: 10.1080/1540496X.2015.1026726
    [76] C. C. Lin, Asia-Pacific stock return predictability and market information flows, Emerg. Mark. Finance Trade, 51 (2015), 658–671. https://doi.org/10.1080/1540496X.2015.1046336 doi: 10.1080/1540496X.2015.1046336
    [77] J. O. Mensah, G. Premaratne, Dependence patterns among Asian banking sector stocks: A copula approach, Res. Int. Bus. Finance, 41 (2017), 516–546. https://doi.org/10.1016/j.ribaf.2017.05.001 doi: 10.1016/j.ribaf.2017.05.001
    [78] OECD, Equity market review of Asia 2019, In: OECD Capital market series, 2019. Available from: https://www.oecd.org/content/dam/oecd/en/publications/reports/2019/11/oecd-equity-market-review-of-asia-2019_35a3e608/0cb3163f-en.pdf
    [79] Y. J. Park, Asia-Pacific stock market connectedness: a network approach, KIEP No APEC Study Series 19–01, 2019. https://doi.org/10.2139/ssrn.3697688 doi: 10.2139/ssrn.3697688
    [80] M. A. Kose, E. Prasad, K. Rogoff, S. J. Wei, Financial globalization: A reappraisal, IMF Econ. Rev., 56 (2009), 8–62. https://doi.org/10.1057/imfsp.2008.36 doi: 10.1057/imfsp.2008.36
    [81] S. P. Nguyen, T. L. D. Huynh, Portfolio optimization from a Copulas-GJR-GARCH-EVT-CVaR model: Empirical evidence from ASEAN stock indexes, Quant. Finance Econ., 3 (2019), 562–585. https://doi.org/10.3934/QFE.2019.3.562 doi: 10.3934/QFE.2019.3.562
    [82] L. Baele, K. Inghelbrecht, Time-varying integration and international diversification strategies, J. Empir. Finance, 16 (2009), 368–387. https://doi.org/10.1016/j.jempfin.2008.11.001 doi: 10.1016/j.jempfin.2008.11.001
    [83] Y. Xiao, The risk spillovers from the Chinese stock market to major East Asian stock markets: A MSGARCH-EVT-copula approach, Int. Rev. Econ. Finance, 65 (2020), 173–186. https://doi.org/10.1016/j.iref.2019.10.009 doi: 10.1016/j.iref.2019.10.009
    [84] J. J. J. Wang, J. S. K. Chan, S. T. B. Choy, Stochastic volatility models with leverage and heavy-tailed distributions: A Bayesian approach using scale mixtures, Comput. Stat. Data Anal., 55 (2011), 852–862. https://doi.org/10.1016/j.csda.2010.07.008 doi: 10.1016/j.csda.2010.07.008
    [85] W. L. Leão, C. A. Abanto-Valle, M. H. Chen, Bayesian analysis of stochastic volatility-in-mean model with leverage and asymmetrically heavy-tailed error using generalized hyperbolic skew Student's t-distribution, Stat. Interface, 10 (2017), 529–541. https://doi.org/10.4310/SII.2017.v10.n4.a1 doi: 10.4310/SII.2017.v10.n4.a1
    [86] N. Sekulovski, M. Marsman, E. J. Wagenmakers, A good check on the Bayes factor, Behav. Res. Methods, 56 (2024), 8552–8566. https://doi.org/10.3758/s13428-024-02491-4 doi: 10.3758/s13428-024-02491-4
    [87] J. C. C. Chan, A. L. Grant, Modeling energy price dynamics: GARCH versus stochastic volatility, Energy Econ., 54 (2016), 182–189. https://doi.org/10.1016/j.eneco.2015.12.003 doi: 10.1016/j.eneco.2015.12.003
    [88] M. Asai, Bayesian analysis of stochastic volatility models with mixture-of-normal distributions, Math. Comput. Simulation, 79 (2009), 2579–2596. https://doi.org/10.1016/j.matcom.2008.12.013 doi: 10.1016/j.matcom.2008.12.013
    [89] H. Le, Modelling inflation dynamics: A Bayesian comparison between GARCH and stochastic volatility, Econ. Res.-Ekon. Istraz., 36 (2023), 2112–2136. https://doi.org/10.1080/1331677X.2022.2096093 doi: 10.1080/1331677X.2022.2096093
    [90] S. Chib, Marginal likelihood from the Gibbs output, J. Amer. Statist. Assoc., 90 (1995), 1313–1321. https://doi.org/10.1080/01621459.1995.10476635 doi: 10.1080/01621459.1995.10476635
    [91] Basel Committee on Banking Supervision, Fundamental review of the trading book: A revised market risk framework; 2013. Available from: https://www.bis.org/publ/bcbs265.pdf.
    [92] J. Daníelsson, J. P. Zigrand, On time-scaling of risk and the square-root-of-time rule, J. Bank. Finance, 30 (2006), 2701–2713. https://doi.org/10.1016/j.jbankfin.2005.10.002 doi: 10.1016/j.jbankfin.2005.10.002
    [93] J. M. Chen, On exactitude in financial regulation: Value-at-risk, expected shortfall, and expectiles, Risks, 6 (2018), 61. https://doi.org/10.3390/risks6020061 doi: 10.3390/risks6020061
    [94] E. Afuecheta, I. E. Okorie, S. Nadarajah, G. E. Nzeribe, Forecasting value at risk and expected shortfall of foreign exchange rate volatility of major African currencies via GARCH and dynamic conditional correlation analysis, Comput. Econ., 63 (2022), 271–304. https://doi.org/10.1007/s10614-022-10340-9 doi: 10.1007/s10614-022-10340-9
    [95] A. Kajtazi, A. Moro, The role of Bitcoin in well diversified portfolios: A comparative global study, Int. Rev. Financ. Anal., 61 (2019), 143–157. https://doi.org/10.1016/j.irfa.2018.10.003 doi: 10.1016/j.irfa.2018.10.003
    [96] E. M. Iglesias, M. D. L. Varela, Extreme movements of the main stocks traded in the Eurozone: An analysis by sectors in the 2000's decade, Appl. Financ. Econ., 22 (2012), 2085–2100. https://doi.org/10.1080/09603107.2012.697121 doi: 10.1080/09603107.2012.697121
    [97] F. Afzal, P. Haiying, F. Afzal, A. Mahmood, A. Ikram, Value-at-risk analysis for measuring stochastic volatility of stock returns: Using GARCH-based dynamic conditional correlation model, Sage Open, 11 (2021). https://doi.org/10.1177/21582440211005758 doi: 10.1177/21582440211005758
    [98] C. Ioannidis, A. Kontonikas, Monetary policy and the stock market: Some international evidence, University of Glasgow, 2006.
    [99] I. Gunduz, Stock market transmission channel of monetary policy: Empirical evidence from Turkey, Int. J. Finance Econ., 26 (2020), 6421–6443. https://doi.org/10.1002/ijfe.2129 doi: 10.1002/ijfe.2129
    [100] A. N. Bomfim, Pre-announcement effects, news effects, and volatility: Monetary policy and the stock market, J. Bank. Finance, 27 (2003), 133–151. https://doi.org/10.1016/S0378-4266(01)00211-4 doi: 10.1016/S0378-4266(01)00211-4
    [101] A. A. Salisu, R. Demirer, R. Gupta, Policy uncertainty and stock market volatility revisited: The predictive role of signal quality, J. Forecast., 42 (2023), 2307–2321. https://doi.org/10.1002/for.3016 doi: 10.1002/for.3016
    [102] A. Assaf, Extreme observations and risk assessment in the equity markets of MENA region: Tail measures and value-at-risk, Int. Rev. Financ. Anal., 18 (2009), 109–116. https://doi.org/10.1016/j.irfa.2009.03.007 doi: 10.1016/j.irfa.2009.03.007
    [103] C. H. Lin, C. C. C. Chien, S. W. Chen, Incorporating the time-varying tail-fatness into the historical simulation method for portfolio value-at-risk, Rev. Pac. Basin Financ. Mark Policies., 9 (2006), 257–274. https://doi.org/10.1142/S0219091506000720 doi: 10.1142/S0219091506000720
    [104] A. F. Rossignolo, M. D. Fethi, M. Shaban, Value-at-risk models and Basel capital charges: Evidence from emerging and frontier stock markets, J. Financ. Stab., 8 (2012), 303–319. https://doi.org/10.1016/j.jfs.2011.11.003 doi: 10.1016/j.jfs.2011.11.003
  • Reader Comments
  • © 2026 the Author(s), licensee AIMS Press. This is an open access article distributed under the terms of the Creative Commons Attribution License (http://creativecommons.org/licenses/by/4.0)
通讯作者: 陈斌, bchen63@163.com
  • 1. 

    沈阳化工大学材料科学与工程学院 沈阳 110142

  1. 本站搜索
  2. 百度学术搜索
  3. 万方数据库搜索
  4. CNKI搜索

Metrics

Article views(846) PDF downloads(57) Cited by(0)

Article outline

Figures and Tables

Figures(10)  /  Tables(13)

Other Articles By Authors

/

DownLoad:  Full-Size Img  PowerPoint
Return
Return

Catalog