Research article Special Issues

Data-driven neural network dynamics for customer behavior modeling and personalized E-commerce marketing

  • Published: 02 February 2026
  • MSC : 62M10, 68T07, 91B60

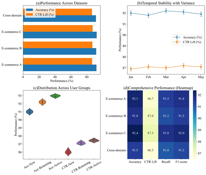
  • Accurate personalization in e-commerce is challenged by high-dimensional, time-varying customer data and rapidly shifting behavioral patterns. We proposed a dynamics-aware neural modeling framework that integrated a gated recurrent unit (GRU) encoder with a temporal attention mechanism (TAM) to capture learning dynamics, stability, and generalization across business stages. Sparse, multi-source interaction streams were embedded to reduce feature dimensionality before sequence modeling. The GRU extracted long- and short-term dependencies, while TAM assigned time-step-specific weights to highlight behaviorally salient periods for prediction. To handle distributional drift, model parameters were updated dynamically, ensuring alignment with evolving customer behavior. We evaluated convergence during training, temporal prediction stability, and cross-period generalization. For customer-demand forecasting, the method achieved an accuracy of 0.924, a recall of 0.910, and an F1-score of 0.914. In recommendation tasks, the overall click-through rate reached 87.1%, and forecasting accuracy remained stable between 92.4% and 90.9% across business stages, demonstrating robustness to temporal regime changes. Attention-weight analyses further provided interpretability by revealing dominant behavioral windows and influential features. These results indicated that explicitly modeling neural network dynamics—through sequence encoders, temporal attention, and adaptive updating—enhanced prediction accuracy, recommendation effectiveness, and stability under non-stationary conditions, offering a practical and scalable pathway for personalized e-commerce marketing.

    Citation: Long Li, Yuanyuan Jiang. Data-driven neural network dynamics for customer behavior modeling and personalized E-commerce marketing[J]. AIMS Mathematics, 2026, 11(2): 3221-3242. doi: 10.3934/math.2026130

    Related Papers:

  • Accurate personalization in e-commerce is challenged by high-dimensional, time-varying customer data and rapidly shifting behavioral patterns. We proposed a dynamics-aware neural modeling framework that integrated a gated recurrent unit (GRU) encoder with a temporal attention mechanism (TAM) to capture learning dynamics, stability, and generalization across business stages. Sparse, multi-source interaction streams were embedded to reduce feature dimensionality before sequence modeling. The GRU extracted long- and short-term dependencies, while TAM assigned time-step-specific weights to highlight behaviorally salient periods for prediction. To handle distributional drift, model parameters were updated dynamically, ensuring alignment with evolving customer behavior. We evaluated convergence during training, temporal prediction stability, and cross-period generalization. For customer-demand forecasting, the method achieved an accuracy of 0.924, a recall of 0.910, and an F1-score of 0.914. In recommendation tasks, the overall click-through rate reached 87.1%, and forecasting accuracy remained stable between 92.4% and 90.9% across business stages, demonstrating robustness to temporal regime changes. Attention-weight analyses further provided interpretability by revealing dominant behavioral windows and influential features. These results indicated that explicitly modeling neural network dynamics—through sequence encoders, temporal attention, and adaptive updating—enhanced prediction accuracy, recommendation effectiveness, and stability under non-stationary conditions, offering a practical and scalable pathway for personalized e-commerce marketing.



    加载中


    [1] A. A. Alsmadi, A. Shuhaiber, M. Al-Okaily, A. Al-Gasaymeh, N. Alrawashdeh, Big data analytics and innovation in e-commerce: Current insights and future directions, J. Financ. Serv. Mark., 29 (2023), 1635–1652. https://doi.org/10.1057/s41264-023-00235-7 doi: 10.1057/s41264-023-00235-7
    [2] T. Wang, N. Li, H. Wang, J. Xian, J. Guo, Visual analysis of e-commerce user behavior based on log mining, Adv. Multimedia, 2022 (2022), 4291978. https://doi.org/10.1155/2022/4291978 doi: 10.1155/2022/4291978
    [3] L. Theodorakopoulos, A. Theodoropoulou, Leveraging big data analytics for understanding consumer behavior in digital marketing: A systematic review, Hum. Behav. Emerg. Technol., 2024 (2024), 3641502. https://doi.org/10.1155/2024/3641502 doi: 10.1155/2024/3641502
    [4] S. Chandra, S. Verma, W. M. Lim, S. Kumar, N. Donthu, Personalization in personalized marketing: trends and ways forward, Psychol. Mark., 39 (2022), 1529–1562. https://doi.org/10.1002/mar.21670 doi: 10.1002/mar.21670
    [5] Z. Liu, Prediction model of e-commerce users' purchase behavior based on deep learning, Front. Bus. Econ. Manag., 15 (2024), 147–149. https://doi.org/10.54097/p22ags78 doi: 10.54097/p22ags78
    [6] Y. D. Al-Otaibi, Enhancing e-commerce strategies: A deep learning framework for customer behavior prediction, Eng. Technol. Appl. Sci. Res., 14 (2024), 15656–15664. https://doi.org/10.48084/etasr.7945 doi: 10.48084/etasr.7945
    [7] A. T. Rosário, J. C. Dias, How has data-driven marketing evolved: challenges and opportunities with emerging technologies, Int. J. Inf. Manag. Data Insights, 3 (2023), 100203. https://doi.org/10.1016/j.jjimei.2023.100203 doi: 10.1016/j.jjimei.2023.100203
    [8] S. C. Necula, Exploring the impact of time spent reading product information on e-commerce websites: A machine learning approach to analyze consumer behavior, Behav. Sci., 13 (2023), 439. https://doi.org/10.3390/bs13060439 doi: 10.3390/bs13060439
    [9] S. De, P. Prabu, Predicting customer churn: A systematic literature review, J. Discrete Math. Sci. Cryptogr., 25 (2022), 1965–1985. https://doi.org/10.1080/09720529.2022.2133238 doi: 10.1080/09720529.2022.2133238
    [10] S. Gupta, P. S. Kushwaha, U. Badher, P. Chatterjee, E. D. R. S. Gonzalez, Identification of benefits, challenges, and pathways in e-commerce industries: An integrated two-phase decision-making model, Sustain. Oper. Comput., 4 (2023), 200–218. https://doi.org/10.1016/j.susoc.2023.08.005 doi: 10.1016/j.susoc.2023.08.005
    [11] Y. Li, L. Hu, W. Gao, Multi-label feature selection with high-sparse personalized and low-redundancy shared common features, Inf. Process. Manag., 61 (2024), 103633. https://doi.org/10.1016/j.ipm.2023.103633 doi: 10.1016/j.ipm.2023.103633
    [12] H. Cai, J. Meng, S. Yuan, J. Ren, A robust sequential recommendation model based on multiple feedback behavior denoising and trusted neighbors, Neural Process. Lett., 56 (2024), 1. https://doi.org/10.1007/s11063-024-11438-x doi: 10.1007/s11063-024-11438-x
    [13] Z. Ren, X. He; D. Yin; M. de Rijke, Information discovery in e-commerce, Found. Trends Inf. Retr., 18 (2024), 417–690. https://doi.org/10.1561/1500000097 doi: 10.1561/1500000097
    [14] Y. Song, W. Wang, S. Yao, Customer acquisition via explainable deep reinforcement learning, Inf. Syst. Res., 36 (2025), 534–551. https://doi.org/10.1287/isre.2022.0529 doi: 10.1287/isre.2022.0529
    [15] Y. Zhong, J. Zhou, P. Li, J. Gong, Dynamically evolving deep neural networks with continuous online learning, Inf. Sci., 646 (2023), 119411. https://doi.org/10.1016/j.ins.2023.119411 doi: 10.1016/j.ins.2023.119411
    [16] L. Tian, X. Wang, A dynamic prediction neural network model of cross-border e-commerce sales for virtual community knowledge sharing, Comput. Intell. Neurosci., 2022 (2022), 2529372. https://doi.org/10.1155/2022/2529372 doi: 10.1155/2022/2529372
    [17] Y. H. Alfaifi, Recommender systems applications: Data sources, features, and challenges, Information, 15 (2024), 660. https://doi.org/10.3390/info15100660 doi: 10.3390/info15100660
    [18] V. Norouzi, Predicting e-commerce CLV with neural networks: The role of NPS, ATV, and CES, J. Econ. Technol., 2 (2024), 174–189. https://doi.org/10.1016/j.ject.2024.04.004 doi: 10.1016/j.ject.2024.04.004
    [19] P. Magron, C. Févotte, Neural content-aware collaborative filtering for cold-start music recommendation, Data Min. Knowl. Discov., 36 (2022), 1971–2005. https://doi.org/10.1007/s10618-022-00859-8 doi: 10.1007/s10618-022-00859-8
    [20] H. Papadakis, A. Papagrigoriou, C. Panagiotakis, E. Kosmas, P. Fragopoulou, Collaborative filtering recommender systems taxonomy, Knowl. Inf. Syst., 64 (2022), 35–74. https://doi.org/10.1007/s10115-021-01628-7 doi: 10.1007/s10115-021-01628-7
    [21] T. F. Boka, Z. Niu, R. B. Neupane, A survey of sequential recommendation systems: techniques, evaluation, and future directions, Inf. Syst., 125 (2024), 102427. https://doi.org/10.1016/j.is.2024.102427 doi: 10.1016/j.is.2024.102427
    [22] M. Ma, G. Wang, T. Fan, Improved DeepFM recommendation algorithm incorporating deep feature extraction, Appl. Sci., 12 (2022), 11992. https://doi.org/10.3390/app122311992 doi: 10.3390/app122311992
    [23] M. I. Stan, O. Rhodes, Learning long sequences in spiking neural networks, Sci. Rep., 14 (2024), 21957. https://doi.org/10.1038/s41598-024-71678-8 doi: 10.1038/s41598-024-71678-8
    [24] J. Smith, S. De Mello, J. Kautz, S. Linderman, W. Byeon, Convolutional state space models for long-range spatiotemporal modeling, Adv. Neural Inf. Process. Syst., 36 (2023), 80690–80729.
    [25] Y. Zhu, S. Yao, X. Sun, Feature interaction dual self-attention network for sequential recommendation, Front. Neurorobot., 18 (2024), 1456192. https://doi.org/10.3389/fnbot.2024.1456192 doi: 10.3389/fnbot.2024.1456192
    [26] J. Lin, Application of machine learning in predicting consumer behavior and precision marketing, PLoS One, 20 (2025), e0321854. https://doi.org/10.1371/journal.pone.0321854 doi: 10.1371/journal.pone.0321854
    [27] M. E. Jalal, A. Elmaghraby, Analyzing the dynamics of customer behavior: A new perspective on personalized marketing through counterfactual analysis, J. Theor. Appl. Electron. Commer. Res., 19 (2024), 1660–1681. https://doi.org/10.3390/jtaer19030081 doi: 10.3390/jtaer19030081
    [28] R. Wang, Z. Wu, J. Lou, Y. Jiang, Attention-based dynamic user modeling and deep collaborative filtering recommendation, Expert Syst. Appl., 188 (2022), 116036. https://doi.org/10.1016/j.eswa.2021.116036 doi: 10.1016/j.eswa.2021.116036
    [29] H. Liu, W. Wang, Y. Zhang, R. Gu, Y. Hao, Neural matrix factorization recommendation for user preference prediction based on explicit and implicit feedback, Comput. Intell. Neurosci., 2022 (2022), 9593957. https://doi.org/10.1155/2022/9593957 doi: 10.1155/2022/9593957
    [30] M. O. Ayemowa, R. Ibrahim, Y. A. Bena, A systematic review of the literature on deep learning approaches for cross-domain recommender systems, Decis. Anal. J., 13 (2024), 100518. https://doi.org/10.1016/j.dajour.2024.100518 doi: 10.1016/j.dajour.2024.100518
    [31] J. Li, S. Bao, Personalized recommendation method of e-commerce products based on in-depth user interest portraits, Int. J. Inf. Technol. Web Eng., 19 (2024), 15. https://doi.org/10.4018/ijitwe.335123 doi: 10.4018/ijitwe.335123
    [32] J. Yin, X. Qiu, Y. Wang, The impact of AI-personalized recommendations on clicking intentions: Evidence from Chinese e-commerce, J. Theor. Appl. Electron. Commer. Res., 20 (2025), 21. https://doi.org/10.3390/jtaer20010021 doi: 10.3390/jtaer20010021
    [33] O. R. Amosu, P. Kumar, A. Fadina, Y. M. Ogunsuji, S. Oni, O. Faworaja, et al., Data-driven personalized marketing: deep learning in retail and e-commerce, World J. Adv. Res. Rev., 23 (2024), 788–796. https://doi.org/10.30574/wjarr.2024.23.2.2395 doi: 10.30574/wjarr.2024.23.2.2395
    [34] F. U. Ojika, W. O. Owobu, O. A. Abieba, O. J. Esan, B. C. Ubamadu, A. I. Daraojimba, Enhancing user interaction through deep learning models: A data-driven approach to improving consumer experience in e-commerce, J. Front. Multidiscip. Res., 4 (2023), 126–137. https://doi.org/10.54660/.ijfmr.2023.4.1.126-137 doi: 10.54660/.ijfmr.2023.4.1.126-137
    [35] G. Kumar, G. Devayani, C. Saraswathi, R. M. Kani, S. Dongre, M. S. M. Mallick, Exploring consumer behavior in e-commerce with AI personalization and market trends analysis models, In: 2025 3rd International conference on integrated circuits and communication systems (ICICACS), India: IEEE, 2025, 1–6. https://doi.org/10.1109/icicacs65178.2025.10967904
    [36] B. Sun, Data-driven personalized marketing strategy optimization based on user behavior modeling and predictive analytics: sustainable market segmentation and targeting, PLoS One, 20 (2025), e0328151. https://doi.org/10.1371/journal.pone.0328151 doi: 10.1371/journal.pone.0328151
    [37] A. G. Aishwarya, H. K. Su, W. K. Kuo, Personalized e-commerce: Enhancing customer experience through machine learning-driven personalization, In: 2024 IEEE International conference on information technology, electronics and intelligent communication systems (ICITEICS), India: IEEE, 2024, 1–5. https://doi.org/10.1109/iciteics61368.2024.10624901
    [38] T. Mahmud, R. Chakma, R. Akther, M. T. Aziz, T. Rahman, M. S. Hossain, K. Andersson, Leveraging data-driven decision making for e-commerce growth: a machine learning framework, In: Intelligent computing and optimization, Cham: Springer, 1167 (2023), 249–261. https://doi.org/10.1007/978-3-031-73318-5_21
    [39] L. Singla, S. Bansal, P. Banyal, S. Abrol, A. Dhiman, Understanding e-commerce consumer behavior with CNN-LSTM: A data-driven approach, In: 2025 5th International conference on expert clouds and applications (ICOECA), India: IEEE, 2025,872–876. https://doi.org/10.1109/icoeca66273.2025.00153
    [40] B. Ye, Predicting e-commerce customer purchase behavior using LSTM-attention neural networks and data optimization strategies, Informatica, 49 (2025). https://doi.org/10.31449/inf.v49i31.8875 doi: 10.31449/inf.v49i31.8875
    [41] P. Pande, A. K. Kulkarni, V. Ramalingam, Big data analytics in e-commerce driving business decisions through customer behavior insights, ITM Web Conf., 76 (2025), 05001. https://doi.org/10.1051/itmconf/20257605001 doi: 10.1051/itmconf/20257605001
    [42] M. Ononiwu, T. I. Azonuche, O. F. Okoh, J. O. Enyejo, AI-driven predictive analytics for customer retention in e-commerce platforms using real-time behavioral tracking, Int. J. Sci. Res. Mod. Technol., 2 (2023), 17–31. https://doi.org/10.38124/ijsrmt.v2i8.561 doi: 10.38124/ijsrmt.v2i8.561
    [43] J. Liu, Knowledge-augmented news recommendation via LLM recall, temporal GNN encoding, and multi-task ranking, In: 2025 6th International conference on big data & artificial intelligence & software engineering (ICBASE), Malaysia: IEEE, 2025,141–144. https://doi.org/10.1109/icbase66587.2025.11181275
  • Reader Comments
  • © 2026 the Author(s), licensee AIMS Press. This is an open access article distributed under the terms of the Creative Commons Attribution License (http://creativecommons.org/licenses/by/4.0)
通讯作者: 陈斌, bchen63@163.com
  • 1. 

    沈阳化工大学材料科学与工程学院 沈阳 110142

  1. 本站搜索
  2. 百度学术搜索
  3. 万方数据库搜索
  4. CNKI搜索

Metrics

Article views(1206) PDF downloads(62) Cited by(0)

Article outline

Figures and Tables

Figures(7)  /  Tables(5)

Other Articles By Authors

/

DownLoad:  Full-Size Img  PowerPoint
Return
Return

Catalog