Research article Special Issues

Exact statistical inference for quantities of loggamma distribution

  • Published: 24 March 2026
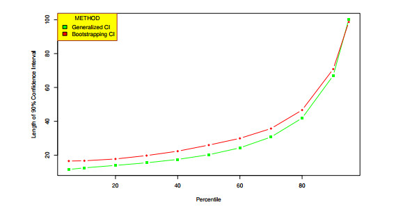
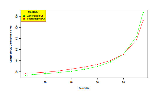
  • Transformed gamma distributions are widely used in various fields such as survival analysis, reliability engineering, and environmental studies. Statistical inference for the quantities of the transformed gamma distributions is of great importance in these applications. However, traditional inference methods often rely on large sample approximations, which is not accurate for small sample sizes. To address this issue, we introduced an exact statistical inference framework for quantities of the transformed gamma distributions and applied the framework to loggamma distribution. The performance of the proposed framework was extensively evaluated via comprehensive simulation studies. The results showed that the proposed framework outperforms the parametric bootstrapping method in terms of coverage probability and type 1 error rate. Two real data applications are provided for illustrative purposes.

    Citation: Bowen Liu, Malwane M. A. Ananda. Exact statistical inference for quantities of loggamma distribution[J]. Electronic Research Archive, 2026, 34(4): 2572-2589. doi: 10.3934/era.2026119

    Related Papers:

  • Transformed gamma distributions are widely used in various fields such as survival analysis, reliability engineering, and environmental studies. Statistical inference for the quantities of the transformed gamma distributions is of great importance in these applications. However, traditional inference methods often rely on large sample approximations, which is not accurate for small sample sizes. To address this issue, we introduced an exact statistical inference framework for quantities of the transformed gamma distributions and applied the framework to loggamma distribution. The performance of the proposed framework was extensively evaluated via comprehensive simulation studies. The results showed that the proposed framework outperforms the parametric bootstrapping method in terms of coverage probability and type 1 error rate. Two real data applications are provided for illustrative purposes.



    加载中


    [1] C. Kleiber, S. Kotz, Statistical Size Distributions in Economics and Actuarial Sciences, John Wiley & Sons, 2003. https://doi.org/10.1002/0471457175
    [2] S. A. Klugman, H. H. Panjer, G. E. Willmot, Loss Models: From Data to Decisions, John Wiley & Sons, 2012.
    [3] R. L. Prentice, A log gamma model and its maximum likelihood estimation, Biometrika, 61 (1974), 539–544. https://doi.org/10.2307/2334737 doi: 10.2307/2334737
    [4] P. Veazie, O. Intrator, B. Kinosian, C. S. Phibbs, Better performance for right-skewed data using an alternative gamma model, BMC Med. Res. Methodol., 23 (2023), 298. https://doi.org/10.1186/s12874-023-02113-1 doi: 10.1186/s12874-023-02113-1
    [5] M. Amini, S. M. T. K. MirMostafaee, J. Ahmadi, Log-gamma-generated families of distributions, Statistics, 48 (2014), 913–932. https://doi.org/10.1080/02331888.2012.748775 doi: 10.1080/02331888.2012.748775
    [6] B. Liu, M. M. A. Ananda, Analyzing insurance data with an exponentiated composite inverse gamma-Pareto model, Commun. Stat. Theory Methods, 52 (2023), 7618–7631. https://doi.org/10.1007/978-94-017-1431-0_15 doi: 10.1007/978-94-017-1431-0_15
    [7] V. P. Singh, Log-Pearson type III distribution, in Entropy-based Parameter Estimation in Hydrology, Springer, (1998), 252–274. https://doi.org/10.1007/978-94-017-1431-0
    [8] A. G. Glen, On the inverse gamma as a survival distribution, in Computational Probability Applications, Springer, (2017), 15–30. https://doi.org/10.1007/978-3-319-43317-2_2
    [9] C. T. Lin, B. S. Duran, T. O. Lewis, Inverted gamma as a life distribution, Microelectron. Reliab., 29 (1989), 619–626. https://doi.org/10.1016/0026-2714(89)90352-1 doi: 10.1016/0026-2714(89)90352-1
    [10] S. Weerahandi, J. Gamage, A general method of inference for two-parameter continuous distributions, Commun. Stat. Theory Methods, 45 (2016), 2612–2625. https://doi.org/10.1080/03610926.2014.887109 doi: 10.1080/03610926.2014.887109
    [11] M. Ananda, Generalized statistical inference for quantiles of two-parameter gamma distribution, J. Math. Stat., 20 (2024), 1–12. https://doi.org/10.3844/jmssp.2024.1.12 doi: 10.3844/jmssp.2024.1.12
    [12] S. M. Jordan, K. Krishnamoorthy, Exact confidence intervals for the common mean of several normal populations, Biometrics, 52 (1996), 77–86. https://doi.org/10.2307/2533146 doi: 10.2307/2533146
    [13] P. L. H. Yu, Y. Sun, B. K. Sinha, On exact confidence intervals for the common mean of several normal populations, J. Stat. Plann. Inference, 81 (1999), 263–277. https://doi.org/10.1016/S0378-3758(99)00052-X doi: 10.1016/S0378-3758(99)00052-X
    [14] S. Weerahandi, C. R. Yu, Exact distributions of statistics for making inferences on mixed models under the default covariance structure, J. Stat. Distrib. Appl., 7 (2020), 4. https://doi.org/10.1186/s40488-020-00105-w doi: 10.1186/s40488-020-00105-w
    [15] S. Weerahandi, Generalized confidence intervals, J. Am. Stat. Assoc., 88 (1993), 899–905. https://doi.org/10.2307/2290779 doi: 10.2307/2290779
    [16] K. W. Tsui, S. Weerahandi, Generalized p-values in significance testing of hypotheses in the presence of nuisance parameters, J. Am. Stat. Assoc., 84 (1989), 602–607. https://doi.org/10.2307/2289949 doi: 10.2307/2289949
    [17] Y. Yan, D. Cheng, J. E. Feng, H. Li, J. Yue, Survey on applications of algebraic state space theory of logical systems to finite state machines, Sci. China Inf. Sci., 66 (2023), 111201. https://doi.org/10.1007/s11432-022-3538-4 doi: 10.1007/s11432-022-3538-4
    [18] G. K. K. King, O. Papaspiliopoulos, M. Ruggiero, Exact inference for a class of hidden Markov models on general state spaces, Electron. J. Stat., 15 (2021), 2832–2875. https://doi.org/10.1214/21-EJS1841 doi: 10.1214/21-EJS1841
    [19] R. A. Fisher, On the mathematical foundations of theoretical statistics, Philos. Trans. A Math. Phys. Eng. Sci., 222 (1922), 309–368. https://doi.org/10.1098/rsta.1922.0009 doi: 10.1098/rsta.1922.0009
    [20] J. Neyman, Su un teorema concernente le cosiddette statistiche sufficienti, G. Ist. Ital. Attuari, 6 (1935), 320–334.
    [21] E. L. Lehmann, H. Scheffé, Completeness, similar regions, and unbiased estimation-Part I, in Selected Works of E. L. Lehmann, Springer, (2011), 233–268. https://doi.org/10.1007/978-1-4614-1412-4_23
    [22] D. K. Bhaumik, K. Kapur, R. D. Gibbons, Testing parameters of a gamma distribution for small samples, Technometrics, 51 (2009), 326–334. https://doi.org/10.1198/tech.2009.07038 doi: 10.1198/tech.2009.07038
    [23] R. E. Glaser, The ratio of the geometric mean to the arithmetic mean for a random sample from a gamma distribution, J. Am. Stat. Assoc., 71 (1976), 480–487. https://doi.org/10.2307/2285338 doi: 10.2307/2285338
    [24] J. Lieblein, M. Zelen, Statistical investigation of the fatigue life of deep-groove ball bearings, J. Res. Natl. Bur. Stand., 57 (1956), 273–316. http://doi.org/10.6028/jres.057.033 doi: 10.6028/jres.057.033
    [25] F. Ashkar, T. B. M. J. Ouarda, Approximate confidence intervals for quantiles of gamma and generalized gamma distributions, J. Hydrol. Eng., 3 (1998), 43–51. https://doi.org/10.1061/(ASCE)1084-0699(1998)3:1(43) doi: 10.1061/(ASCE)1084-0699(1998)3:1(43)
  • Reader Comments
  • © 2026 the Author(s), licensee AIMS Press. This is an open access article distributed under the terms of the Creative Commons Attribution License (http://creativecommons.org/licenses/by/4.0)
通讯作者: 陈斌, bchen63@163.com
  • 1. 

    沈阳化工大学材料科学与工程学院 沈阳 110142

  1. 本站搜索
  2. 百度学术搜索
  3. 万方数据库搜索
  4. CNKI搜索

Metrics

Article views(994) PDF downloads(295) Cited by(0)

Article outline

Figures and Tables

Figures(4)  /  Tables(4)

Other Articles By Authors

/

DownLoad:  Full-Size Img  PowerPoint
Return
Return

Catalog