Research article Special Issues

A computational approach to an inverse source problem for a kinetic equation with gradient-type boundary data and an interior point observation

  • Published: 10 March 2026
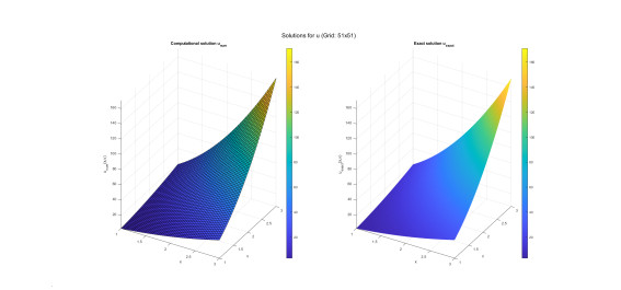
  • In this work, we consider an inverse problem for a stationary kinetic equation. Our aim is to determine the source function from boundary measurements together with additional information provided at an interior point of the domain. Unlike existing works, the boundary information comprises not the direct problem solution itself, but the gradients the gradients of the solution and the source function are prescribed on the boundary. We develop a numerical algorithm based on a hybrid strategy that combines the finite-difference method with a bilinear interpolation polynomial approximation. The performance of the proposed approach is demonstrated through several numerical experiments, and the results are reported comparatively via graphs and tables. The numerical tests indicate that the reconstruction errors for the unknown functions remain sufficiently small.

    Citation: İsmet Gölgeleyen, Muhammed Hasdemir, Özlem Kaytmaz. A computational approach to an inverse source problem for a kinetic equation with gradient-type boundary data and an interior point observation[J]. Electronic Research Archive, 2026, 34(4): 2136-2156. doi: 10.3934/era.2026096

    Related Papers:

  • In this work, we consider an inverse problem for a stationary kinetic equation. Our aim is to determine the source function from boundary measurements together with additional information provided at an interior point of the domain. Unlike existing works, the boundary information comprises not the direct problem solution itself, but the gradients the gradients of the solution and the source function are prescribed on the boundary. We develop a numerical algorithm based on a hybrid strategy that combines the finite-difference method with a bilinear interpolation polynomial approximation. The performance of the proposed approach is demonstrated through several numerical experiments, and the results are reported comparatively via graphs and tables. The numerical tests indicate that the reconstruction errors for the unknown functions remain sufficiently small.



    加载中


    [1] C. Cercignani, Theory and Application of the Boltzmann Equation, Scottish Academic Press, 1975.
    [2] R. Liboff, Introduction to the Theory of Kinetic Equations, Wiley, 1969.
    [3] B. V. Alexeev, Mathematical Kinetics of Reacting Gases, Nauka, 1982.
    [4] C. Lancellotti, M. K. H. Kiessling, Self-similar gravitational collapse in stellar dynamics, Astrophys. J., 549 (2001), L93–L96. https://doi.org/10.1086/319132 doi: 10.1086/319132
    [5] B. Perthame, Mathematical tools for kinetic equations, Bull. Am. Math. Soc., 41 (2004), 205–244. https://doi.org/10.1090/S0273-0979-04-01004-3 doi: 10.1090/S0273-0979-04-01004-3
    [6] P. A. Markowich, C. A. Ringhofer, C. Schmeiser, Semiconductor Equations, Springer, 1993.
    [7] C. Cercignani, G. A. Bird, E. Gabetta, Transport Phenomena and Kinetic Theory: Applications to Gases, Semiconductors, Photons, and Biological Systems, Springer Science & Business Media, 2007.
    [8] F. Natterer, The Mathematics of Computerized Tomography, Society for Industrial and Applied Mathematics, Wiley, 1986.
    [9] A. Kh. Amirov, Integral Geometry and Inverse Problems for Kinetic Equations, VSP, Utrecht, 2001. https://doi.org/10.1515/9783110940947
    [10] Y. E. Anikonov, Inverse Problems for Kinetic and Other Evolution Equations, VSP, Utrecht, 2001. https://doi.org/10.1515/9783110940909
    [11] A. Kh. Amirov, F. Gölgeleyen, Solvability of an inverse problem for the kinetic equation and a symbolic algorithm, Comput. Model. Eng. Sci., 65 (2010), 179–190. https://doi.org/10.3970/cmes.2010.065.179 doi: 10.3970/cmes.2010.065.179
    [12] F. Gölgeleyen, A. Amirov, On the approximate solution of a coefficient inverse problem for the kinetic equation, Math. Commun., 16 (2011), 283–298.
    [13] A. Kh. Amirov, F. Gölgeleyen, A. Rahmanova, An inverse problem for the general kinetic equation and a numerical method, Comput. Model. Eng. Sci., 43 (2009), 131–147. https://doi.org/10.3970/cmes.2009.043.131 doi: 10.3970/cmes.2009.043.131
    [14] İ. Gölgeleyen, An inverse problem for a generalized transport equation in polar coordinates and numerical applications, Inverse Probl., 29 (2013), 095006. https://doi.org/10.1088/0266-5611/29/9/095006 doi: 10.1088/0266-5611/29/9/095006
    [15] A. Amirov, Z. Ustaoğlu, B. Heydarov, Solvability of a two dimensional coefficient inverse problem for transport equation and a numerical method, Transp. Theory Stat. Phys., 40 (2011), 1–22. https://doi.org/10.1080/00411450.2010.529980 doi: 10.1080/00411450.2010.529980
    [16] A. Amirov, Z. Ustaoğlu, On the approximation methods for the solution of a coefficient inverse problem for a transport-like equation, Comput. Model. Eng. Sci., 54 (2009), 283–299. https://doi.org/10.3970/cmes.2009.054.283 doi: 10.3970/cmes.2009.054.283
    [17] İ. Gölgeleyen, M. Hasdemir, A solution algorithm for an inverse source problem for the kinetic equation, Int. J. Mod. Phys. C, 33 (2022), 2250151. https://doi.org/10.1142/S0129183122501510 doi: 10.1142/S0129183122501510
    [18] K. Yu, Z. Li, Y. Liu, Inverse source problem with a posteriori interior measurements for space-time fractional diffusion equations, Comput. Math. Appl., 200 (2025), 305–314. https://doi.org/10.1016/j.camwa.2025.10.011 doi: 10.1016/j.camwa.2025.10.011
    [19] A. L. Karchevsky, L. A. Nazarova, L. A. Nazarov, Determining the fluid transport properties of a fractured porous reservoir by solving the inverse problem using well output measurements, J. Appl. Mech. Tech. Phys., 62 (2021), 952–958. https://doi.org/10.1134/S0021894421060092 doi: 10.1134/S0021894421060092
    [20] F. Gölgeleyen, İ. Gölgeleyen, M. Hasdemir, A hybrid solution method for an inverse problem for the general transport equation, Comput. Math. Appl., 192 (2025), 172–188. https://doi.org/10.1016/j.camwa.2025.05.014 doi: 10.1016/j.camwa.2025.05.014
    [21] M. V. Klibanov, S. E. Pamyatnykh, Lipschitz stability of a non-standard problem for the non-stationary transport equation via a Carleman estimate, Inverse Probl., 22 (2006), 881. https://doi.org/10.1088/0266-5611/22/3/009 doi: 10.1088/0266-5611/22/3/009
    [22] M. V. Klibanov, S. E. Pamyatnykh, Global uniqueness for a coefficient inverse problem for the non-stationary transport equation via Carleman estimate, J. Math. Anal. Appl., 343 (2008), 352–365. https://doi.org/10.1016/j.jmaa.2008.01.071 doi: 10.1016/j.jmaa.2008.01.071
    [23] M. Machida, M. Yamamoto, Global Lipschitz stability in determining coefficients of the radiative transport equation, Inverse Probl., 30 (2014), 035010. https://doi.org/10.1088/0266-5611/30/3/035010 doi: 10.1088/0266-5611/30/3/035010
    [24] A. Kawamoto, M. Machida, Global Lipschitz stability for a fractional inverse transport problem by Carleman estimates, Appl. Anal., 100 (2021), 752–771. https://doi.org/10.1080/00036811.2019.1620931 doi: 10.1080/00036811.2019.1620931
    [25] P. Cannarsa, G. Floridia, F. Gölgeleyen, M. Yamamoto, Inverse coefficient problems for a transport equation by local Carleman estimate, Inverse Probl., 35 (2019), 105013. https://doi.org/10.1088/1361-6420/ab1c69 doi: 10.1088/1361-6420/ab1c69
    [26] M. V. Klibanov, J. Li, L. H. Nguyen, Z. Yang, Convexification numerical method for a coefficient inverse problem for the radiative transport equation, SIAM J. Imaging Sci., 16 (2023), 35–63. https://doi.org/10.1137/22M1509837 doi: 10.1137/22M1509837
    [27] W. H. Press, S. A. Teukolsky, W. T. Vetterling, B. P. Flannery, Numerical Recipes: The Art of Scientific Computing, 3$^rd$ edition, Cambridge University Press, Cambridge, 2007.
    [28] J. D. Foley, A. van Dam, S. K. Feiner, J. F. Hughes, R. D. Phillips, Computer Graphics: Principles and Practice, 2$^nd$ edition, Addison–Wesley, Reading (MA), 1996.
    [29] A. N. Tikhonov, V. Y. Arsenin, Solutions of Ill-Posed Problems, Winston, Washington (DC), 1977.
    [30] P. C. Hansen, Analysis of discrete ill-posed problems by means of the L-curve, SIAM Rev. 34 (1992), 561-580. https://doi.org/10.1137/1034115
    [31] P. C. Hansen, J. G. Nagy, D. P. O'Leary, Deblurring Images: Matrices, Spectra, and Filtering, Society for Industrial and Applied Mathematics, Philadelphia, 2006.
    [32] G. D. Smith, Numerical Solution of Partial Differential Equations: Finite Difference Methods, Oxford University Press, Oxford, 1985.
  • Reader Comments
  • © 2026 the Author(s), licensee AIMS Press. This is an open access article distributed under the terms of the Creative Commons Attribution License (http://creativecommons.org/licenses/by/4.0)
通讯作者: 陈斌, bchen63@163.com
  • 1. 

    沈阳化工大学材料科学与工程学院 沈阳 110142

  1. 本站搜索
  2. 百度学术搜索
  3. 万方数据库搜索
  4. CNKI搜索

Metrics

Article views(361) PDF downloads(37) Cited by(0)

Article outline

Figures and Tables

Figures(20)  /  Tables(4)

/

DownLoad:  Full-Size Img  PowerPoint
Return
Return

Catalog