Research article Special Issues

Effect of the striatum on $ \beta $-synchronous oscillatory activity

  • Published: 19 March 2026
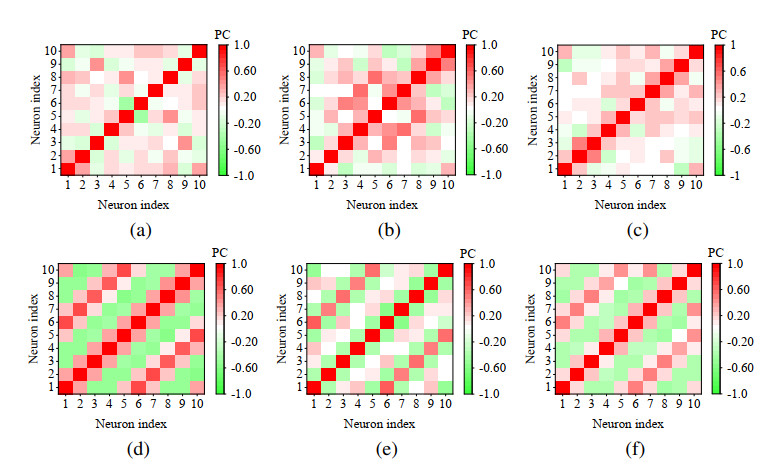
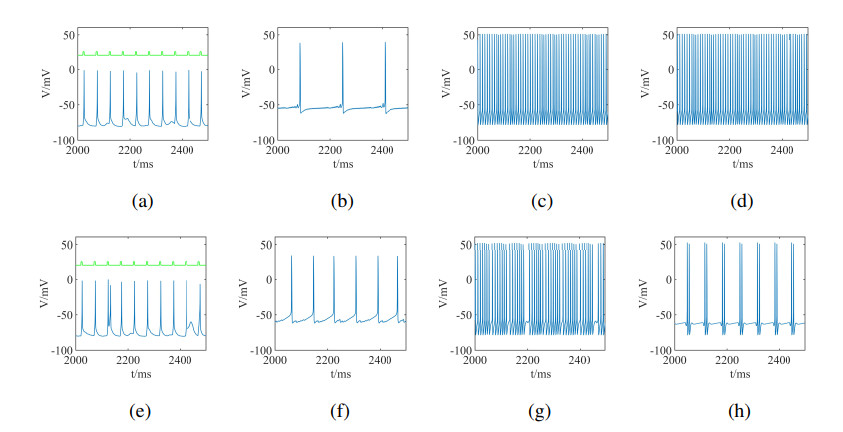
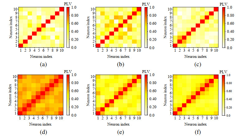
  • Parkinson's disease (PD) is characterized by increased $ \beta $-band (13–30 Hz) synchronization. Although previous studies have indicated that the striatum plays a crucial part in generating and transmitting the $ \beta $-band oscillations, the underlying biophysical basis remains unclear. An extended thalamic–basal ganglia (BGTC) model including the striatum (BGSTC) is used to examine the striatal influence on $ \beta $-band synchronous oscillations in the globus pallidus pars interna (GPi). This influence is implemented by modulating striatal inhibitory input. Phase-locking value (PLV) and phase consistency (PC) show that the basal ganglia (BG) network exhibits pronounced $ \beta $-band synchrony in the Parkinsonian state. Moreover, enhancing striatal synaptic inputs may induce $ \beta $-band desynchronization in GPi via the direct pathway. In contrast, the modulation via the indirect pathway has a much weaker influence and may even exert an opposite effect. These conclusions not only reveal the striatum's regulatory capacity, but also provide a new avenue for PD therapy.

    Citation: Quanbao Ji, Ruhu Lao. Effect of the striatum on $ \beta $-synchronous oscillatory activity[J]. Electronic Research Archive, 2026, 34(4): 2402-2418. doi: 10.3934/era.2026110

    Related Papers:

  • Parkinson's disease (PD) is characterized by increased $ \beta $-band (13–30 Hz) synchronization. Although previous studies have indicated that the striatum plays a crucial part in generating and transmitting the $ \beta $-band oscillations, the underlying biophysical basis remains unclear. An extended thalamic–basal ganglia (BGTC) model including the striatum (BGSTC) is used to examine the striatal influence on $ \beta $-band synchronous oscillations in the globus pallidus pars interna (GPi). This influence is implemented by modulating striatal inhibitory input. Phase-locking value (PLV) and phase consistency (PC) show that the basal ganglia (BG) network exhibits pronounced $ \beta $-band synchrony in the Parkinsonian state. Moreover, enhancing striatal synaptic inputs may induce $ \beta $-band desynchronization in GPi via the direct pathway. In contrast, the modulation via the indirect pathway has a much weaker influence and may even exert an opposite effect. These conclusions not only reveal the striatum's regulatory capacity, but also provide a new avenue for PD therapy.



    加载中


    [1] Z. Li, X. Shi, B. Bai, The effect of the feedback inhibition of heterogeneous external globus pallidus on beta oscillations in an extended basal ganglia network, Electron. Res. Arch., 33 (2025), 6070–6095. https://doi.org/10.3934/era.2025270 doi: 10.3934/era.2025270
    [2] J. Jankovic, Parkinson's disease: clinical features and diagnosis, J. Neurol. Neurosurg. Psychiatry, 79 (2008), 368–376. https://doi.org/10.1136/jnnp.2007.131045 doi: 10.1136/jnnp.2007.131045
    [3] A. Kumar, S. Cardanobile, S. Rotter, A. Aertsen, The role of inhibition in generating and controlling Parkinson's disease oscillations in the basal ganglia, Front. Syst. Neurosci., 5 (2011), 86. https://doi.org/10.3389/fnsys.2011.00086 doi: 10.3389/fnsys.2011.00086
    [4] J. E. Rubin, D. Terman, High frequency stimulation of the subthalamic nucleus eliminates pathological thalamic rhythmicity in a computational model, J. Comput. Neurosci., 16 (2004), 211–235. https://doi.org/10.1023/B:JCNS.0000025686.47117.67 doi: 10.1023/B:JCNS.0000025686.47117.67
    [5] Y. Guo, J. E. Rubin, C. C. McIntyre, J. L. Vitek, D. Terman, Thalamocortical relay fidelity varies across subthalamic nucleus deep brain stimulation protocols in a data-driven computational model, J. Neurophysiol., 99 (2008), 1477–1492. https://doi.org/10.1152/jn.01080.2007 doi: 10.1152/jn.01080.2007
    [6] M. M. McCarthy, C. Moore-Kochlacs, X. Gu, E. S. Boyden, X. Han, N. Kopell, Striatal origin of the pathologic beta oscillations in Parkinson's disease, Proc. Natl. Acad. Sci. U.S.A., 108 (2011), 11620–11625. https://doi.org/10.1073/pnas.1107748108 doi: 10.1073/pnas.1107748108
    [7] A. C. Kreitzer, Physiology and pharmacology of striatal neurons, Annu. Rev. Neurosci., 32 (2009), 127–147. https://doi.org/10.1146/annurev.neuro.051508.135422 doi: 10.1146/annurev.neuro.051508.135422
    [8] A. Rădulescu, J. Herron, C. Kennedy, A. Scimemi, Global and local excitation and inhibition shape the dynamics of the cortico-striatal-thalamo-cortical pathway, Sci. Rep., 7 (2017), 7608. https://doi.org/10.1038/s41598-017-07527-8 doi: 10.1038/s41598-017-07527-8
    [9] R. So, A. Kent, W. Grill, Relative contributions of local cell and passing fiber activation and silencing to changes in thalamic fidelity during deep brain stimulation and lesioning: a computational modeling study, J. Comput. Neurosci., 32 (2012), 499–519. https://doi.org/10.1007/s10827-011-0366-4 doi: 10.1007/s10827-011-0366-4
    [10] S. J. van Albada, P. A. Robinson, Mean-field modeling of the basal ganglia-thalamocortical system. Ⅰ: Firing rates in healthy and parkinsonian states, J. Theor. Biol., 257 (2009), 642–663. https://doi.org/10.1016/j.jtbi.2008.12.018 doi: 10.1016/j.jtbi.2008.12.018
    [11] A. H. Gittis, G. B. Hang, E. S. LaDow, L. R. Shoenfeld, B. V. Atallah, S. Finkbeiner, et al., Rapid target-specific remodeling of fast-spiking inhibitory circuits after loss of dopamine, Neuron, 71 (2011), 858–868. https://doi.org/10.1016/j.neuron.2011.06.035 doi: 10.1016/j.neuron.2011.06.035
    [12] V. L. Corbit, T. C. Whalen, K. T. Zitelli, S. Y. Crilly, J. E. Rubin, A. H. Gittis, Pallidostriatal projections promote $\beta$ oscillations in a dopamine-depleted biophysical network model, J. Neurosci., 36 (2016), 5556–5571. https://doi.org/10.1523/JNEUROSCI.0339-16.2016 doi: 10.1523/JNEUROSCI.0339-16.2016
    [13] L. di Biase, L. Ricci, M. L. Caminiti, P. M. Pecoraro, S. P. Carbone, V. Di Lazzaro, Quantitative high density EEG brain connectivity evaluation in Parkinson's disease: the phase locking value (PLV), J. Clin. Med., 12 (2023), 1450. https://doi.org/10.3390/jcm12041450 doi: 10.3390/jcm12041450
    [14] J. J. Jui, I. T. Hettiarachchi, A. Bhatti, D. Creighton, PLVNet: EEG-based trust classification using phase locking value connectivity and deep neural networks, Comput. Biol. Med., 198 (2025), 111269. https://doi.org/10.1016/j.compbiomed.2025.111269 doi: 10.1016/j.compbiomed.2025.111269
    [15] M. Vinck, M. van Wingerden, T. Womelsdorf, P. Fries, C. M. A. Pennartz, The pairwise phase consistency: a bias-free measure of rhythmic neuronal synchronization, NeuroImage, 51 (2010), 112–122. https://doi.org/10.1016/j.neuroimage.2010.01.073 doi: 10.1016/j.neuroimage.2010.01.073
    [16] M. Galarreta, S. Hestrin, Electrical synapses between GABA-releasing interneurons, Nat. Rev. Neurosci., 2 (2001), 425–433. https://doi.org/10.1038/35077566 doi: 10.1038/35077566
    [17] Y. Yu, Q. Wang, Oscillation dynamics in an extended model of thalamic-basal ganglia, Nonlinear Dyn., 98 (2019), 1065–1080. https://doi.org/10.1007/s11071-019-05249-2 doi: 10.1007/s11071-019-05249-2
    [18] E. Charyasz, M. Erb, J. Bause, R. Heule, B. Bender, V. K. Jangir, et al., Functional connectivity of thalamic nuclei during sensorimotor task-based fMRI at 9.4 Tesla, Front. Neurosci., 19 (2025), 1568222. https://doi.org/10.3389/fnins.2025.1568222 doi: 10.3389/fnins.2025.1568222
    [19] P. L. Chen, Y. C. Chen, P. H. Tu, T. C. Liu, M. C. Chen, H. T. Wu, et al., Subthalamic high-beta oscillation informs the outcome of deep brain stimulation in patients with Parkinson's disease, Front. Hum. Neurosci., 16 (2022), 958521. https://doi.org/10.3389/fnhum.2022.958521 doi: 10.3389/fnhum.2022.958521
    [20] F. Su, M. Chen, L. Zu, S. Li, H. Li, Model-based closed-loop suppression of Parkinsonian beta band oscillations through origin analysis, IEEE Trans. Neural Syst. Rehabil. Eng., 29 (2021), 450–457. https://doi.org/10.1109/TNSRE.2021.3056544 doi: 10.1109/TNSRE.2021.3056544
    [21] E. M. Radcliffe, A. J. Baumgartner, D. S. Kern, M. Al Borno, S. Ojemann, D. R. Kramer, et al., Oscillatory beta dynamics inform biomarker-driven treatment optimization for Parkinson's disease, J. Neurophysiol., 129 (2023), 1492–1504. https://doi.org/10.1152/jn.00055.2023 doi: 10.1152/jn.00055.2023
    [22] T. Hodnik, S. Roytman, N. I. Bohnen, U. Marusic, Beta-gamma phase-amplitude coupling as a non-invasive biomarker for Parkinson's disease: insights from electroencephalography studies, Life(Basel), 14 (2024), 391. https://doi.org/10.3390/life14030391 doi: 10.3390/life14030391
    [23] P. Brown, D. Williams, Basal ganglia local field potential activity: character and functional significance in the human, Clin. Neurophysiol., 116 (2005), 2510–2519. https://doi.org/10.1016/j.clinph.2005.05.009 doi: 10.1016/j.clinph.2005.05.009
    [24] C. Xing, X. Cheng, H. Feng, B. Wu, Y. Nie, C. Chu, et al., A real-time artifact removal system for closed-loop deep-brain stimulation, IEEE Trans. Neural Syst. Rehabil. Eng., 33 (2025), 3237–3245. https://doi.org/10.1109/TNSRE.2025.3597916 doi: 10.1109/TNSRE.2025.3597916
    [25] X. Wang, Y. Yu, F. Han, Q. Wang, Dynamical mechanism of parkinsonian beta oscillation in a heterogeneous subthalamopallidal network, Nonlinear Dyn., 111 (2023), 10505–10527. https://doi.org/10.1007/s11071-023-08381-2 doi: 10.1007/s11071-023-08381-2
    [26] A. Biswas, H. An, Preliminary results of neuromorphic controller design and a Parkinson's disease dataset building for closed-loop deep brain stimulation, preprint, arXiv: 2407.17756.
    [27] J. Li, L. Wang, Y. Pan, P. Huang, L. Xu, Y. Zhang, et al., Subthalamic nucleus oscillations during facial emotion processing and apathy in Parkinson's disease, J. Affect. Disord., 373 (2025), 314–324. https://doi.org/10.1016/j.jad.2025.01.005 doi: 10.1016/j.jad.2025.01.005
  • Reader Comments
  • © 2026 the Author(s), licensee AIMS Press. This is an open access article distributed under the terms of the Creative Commons Attribution License (http://creativecommons.org/licenses/by/4.0)
通讯作者: 陈斌, bchen63@163.com
  • 1. 

    沈阳化工大学材料科学与工程学院 沈阳 110142

  1. 本站搜索
  2. 百度学术搜索
  3. 万方数据库搜索
  4. CNKI搜索

Metrics

Article views(372) PDF downloads(32) Cited by(0)

Article outline

Figures and Tables

Figures(15)  /  Tables(4)

Other Articles By Authors

/

DownLoad:  Full-Size Img  PowerPoint
Return
Return

Catalog